Skip to content

Фотогалерея

  • Главная
  • Контакты

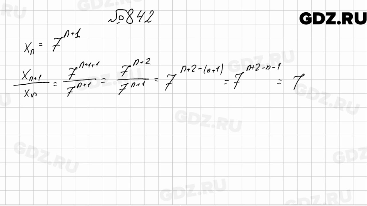
Алгебра номер 842

ГДЗ номер 842 алгебра 8 класс Мерзляк, Полонский

ГДЗ номер 842 алгебра 8 класс Мерзляк, Полонский

ГДЗ номер 842 математика 9 класс Антропов, Ходот

Номер №842 - ГДЗ по геометрии 9 класс Мерзляк, Полонский с подробным ...

Номер 842 - ГДЗ по геометрии 8 класс Мерзляк, Полонский с подробным ...

Номер 842 - ГДЗ по геометрии за 10 и 11 класс Атанасян с подробным решением

ГДЗ упражнение 842 алгебра 10 класс Колягин, Ткачева

ГДЗ номер 842 алгебра 7 класс Мерзляк, Полонский

Номер 842 - ГДЗ по алгебре за 8 класс Мерзляк, Полонский ответы из учебника

ГДЗ номер 842 алгебра 7 класс Мерзляк, Полонский

ГДЗ номер 842 алгебра 7 класс Мерзляк, Полонский

ГДЗ номер 842 алгебра 7 класс Мерзляк, Полонский

Номер 842 - ГДЗ по алгебре 9 класс Макарычев, Миндюк, Нешков

Номер 842 - ГДЗ по алгебре 9 класс Макарычев, Миндюк, Нешков

Номер 842 - ГДЗ по алгебре 7 класс Макарычев, Миндюк, Нешков

Номер 842 - ГДЗ по алгебре 7 класс Макарычев, Миндюк, Нешков

Номер 842 - ГДЗ по алгебре 8 класс Макарычев, Миндюк с ответом и решением

Номер №842 - ГДЗ по Алгебре 9 класс: Мерзляк А.Г.

Номер 842 - ГДЗ по алгебре 9 класс Алимов, Колягин, Сидоров

Номер №842 - ГДЗ по алгебре 9 класс Мерзляк, Полонский, Якир с ...

Номер 842 - ГДЗ по алгебре за 7 класс Мерзляк, Полонский, Якир

Номер 842 - ГДЗ по алгебре 8 класс Макарычев, Миндюк с ответом и решением

Номер 842 - ГДЗ по алгебре 8 класс Макарычев, Миндюк с ответом и решением

Номер 842 - ГДЗ по алгебре 7 класс Колягин, Ткачева, Федорова, Алимов

Номер 842 - ГДЗ по алгебре за 7 класс Мерзляк, Полонский, Якир

Номер №842 - ГДЗ по Алгебре 8 класс: Мерзляк А.Г.

ГДЗ Номер 842 Алгебра 7 класс Дорофеев | Гарантия хорошей оценки

Номер №842 - ГДЗ по Алгебре 7 класс: Мерзляк А.Г.

Номер №842 - ГДЗ по Алгебре 7 класс: Мерзляк А.Г.

Відповідь номер 842 - 29. Мішані числа - Завдання № 4 «Перевірте себе ...

Репетитор по математике (алгебра, геометрия), ОГЭ – купить в Москве ...

42- Алгебра 8 класс Макарычев - YouTube

842 - Алгебра 9 класс Мерзляк - YouTube

Вся Алгебра в ОГЭ за 42 минуты - YouTube

842 Алгебра 8 класс. При каких значениях двучлен принимает значение ...

  • Вперед Асимметричный рисунок шин
  • Назад Как поставить термостат от гранты на калину

Новые страницы

4N35 datasheet

Бизиборд

Блинчики в тайланде

Что является гранью ребром или вершиной прямоугольного параллелепипеда

Cm6805bg аналог

Диски по металлу для болгарки 125

Добежать словообразовательный разбор

Горки город отели и гостиницы

Горнолыжный курорт дубай

Гостиницы мценска орловской области цены

Как подписать папку с документами образец сбоку

Карта г октябрьский башкортостан с улицами и домами

Кинопоиск турист

Купить спортивный костюм на валдберис

Лимитный ордер что это

Мастер по ремонту плитки

Математике 2 класс гдз

Новогодние поделки своими руками схемы

Одна бригада рабочих может посадить 600 плодовых деревьев за 10 дней а другая за 15

Опалиха озеро лесное

Переходник на шланг для полива 1 2

При вдохе диафрагма опускается

Rihard knauff унитаз ремонт сливного бачка

С юбилеем школы поздравление картинки

Схема проводов компьютера

Схема расположения инструментов

Сколько институтов в томске

Спишите расставляя пропущенные знаки препинания подчеркните обособленные определения и приложения

Троллейбус 3 онлайн карта калуга

Жизненный цикл мха схема егэ

cdn.zecar.ru