Skip to content

Фотогалерея

  • Главная
  • Контакты

Алгебра 924

ГБОУ Школа № 924, Москва

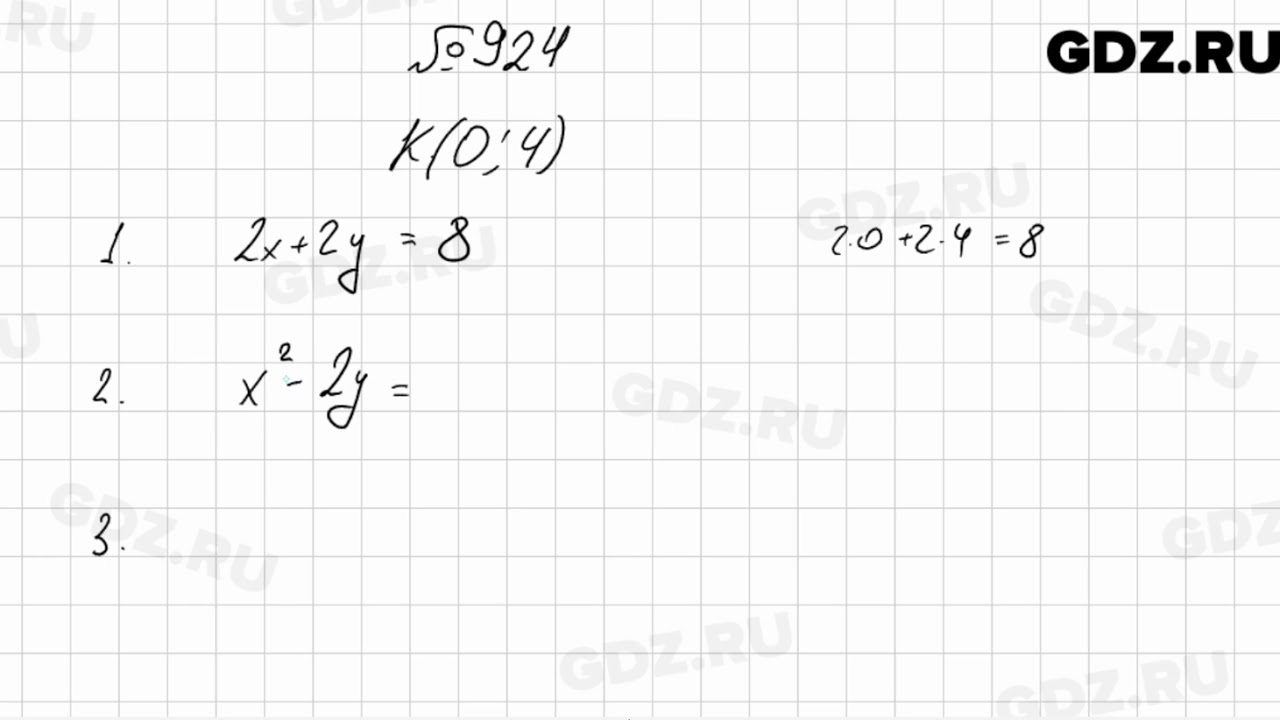
ГДЗ упражнение 924 алгебра 11 класс Колягин, Ткачева

ГДЗ номер 924 алгебра 8 класс Мерзляк, Полонский

ГДЗ упражнение 924 алгебра 7 класс Дорофеев, Суворова

ГДЗ упражнение 924 алгебра 7 класс Дорофеев, Суворова

ГДЗ упражнение 924 алгебра 9 класс Мерзляк, Полонский

ГДЗ задание 924 алгебра 8 класс Макарычев, Миндюк

ГДЗ упражнение 924 алгебра 10-11 класс Алимов, Колягин

Ответы ГДЗ Алгебра за 7 класс Углубленный уровень Номера задач: 924

ГДЗ номер 924 алгебра 7 класс Мерзляк, Полонский

ГДЗ номер 924 алгебра 7 класс Мерзляк, Полонский

ГДЗ номер 924 алгебра 7 класс Мерзляк, Полонский

ГДЗ номер 924 алгебра 7 класс Мерзляк, Полонский

ГДЗ номер 924 алгебра 7 класс Мерзляк, Полонский

Номер 924 - ГДЗ по алгебре за 8 класс Мерзляк, Полонский ответы из учебника

Номер 924 - ГДЗ по алгебре 9 класс Макарычев, Миндюк, Нешков

ГДЗ упражнение 924 алгебра 7 класс Макарычев, Миндюк

ГДЗ упражнение 924 алгебра 7 класс Макарычев, Миндюк

Номер 924 - ГДЗ по алгебре 7 класс Макарычев, Миндюк, Нешков

Номер 924 - ГДЗ по алгебре 7 класс Макарычев, Миндюк, Нешков

Номер 924 - ГДЗ по алгебре 8 класс Макарычев, Миндюк с ответом и решением

ГДЗ упражнение 924 алгебра 8 класс Макарычев, Миндюк

Номер 924 - ГДЗ по алгебре за 7 класс Мерзляк, Полонский, Якир

Номер 924 - ГДЗ по алгебре за 7 класс Мерзляк, Полонский, Якир

ГДЗ задание 924 алгебра 7 класс Макарычев, Миндюк

Номер №924 - ГДЗ по алгебре 9 класс Мерзляк, Полонский, Якир с ...

ГДЗ задание 924 алгебра 9 класс Макарычев, Миндюк

ГДЗ задание 924 алгебра 9 класс Макарычев, Миндюк

Ответы ГДЗ Алгебра за 7 класс Глава 5. Формулы сокращённого уравнения.: 924

ГДЗ Номер 924 Алгебра 7 класс Макарычев ФГОС | Учебник

ГДЗ упражнение 924 алгебра 9 класс Макарычев, Миндюк

ГДЗ упражнение 924 алгебра 9 класс Макарычев, Миндюк

ГДЗ Номер 924 Алгебра 8 класс Никольский | Гарантия хорошей оценки

Вправа 924 алгебра Кравчук Підручна Янченко гдз 7 клас

924 - Алгебра 7 класс Мерзляк - YouTube

  • Вперед Очистить плату от лака
  • Назад Маш бобы

Новые страницы

Алгебра 924

Cber

Дорога от шишкова до тимирязева воронеж проект

Достопримечательности баку и окрестностей

Гдз физика 10 класс генденштейн

Гдз математика 6 класс номер 365

Гдз по геометрии 7 9 класс балаян задачи на готовых чертежах

Готовые домашние задания по английскому языку 8 класс учебник ваулина

Китайская машина хавал

Колит лечение таблетки

Компания аскон

Ларингитный кашель лечение

Марина егорова

Москвич 407

Мр1 30 5 в

Патентные поверенные роспатент

Пошив текстиля на заказ

Программа матч спорт сегодня

Расценка на сварочные работы

Раздатка уаз 469 схема

Рецепт на донормил на латинском языке образец

Рецепт на редуксин 10 мг образец для аптеки

Русский язык 7 класс ладыженская 372

Схемы для игры в морской бой

Схемы надежности системы

Сколько жрет газель на холостых

Смета на изготовление и монтаж металлоконструкций

Спортивная обувь дома

Спортивные брюки новгород

Жалоба на соцзащиту образец

cdn.zecar.ru