Skip to content

Фотогалерея

  • Главная
  • Контакты

Алгебра 921 7 класс

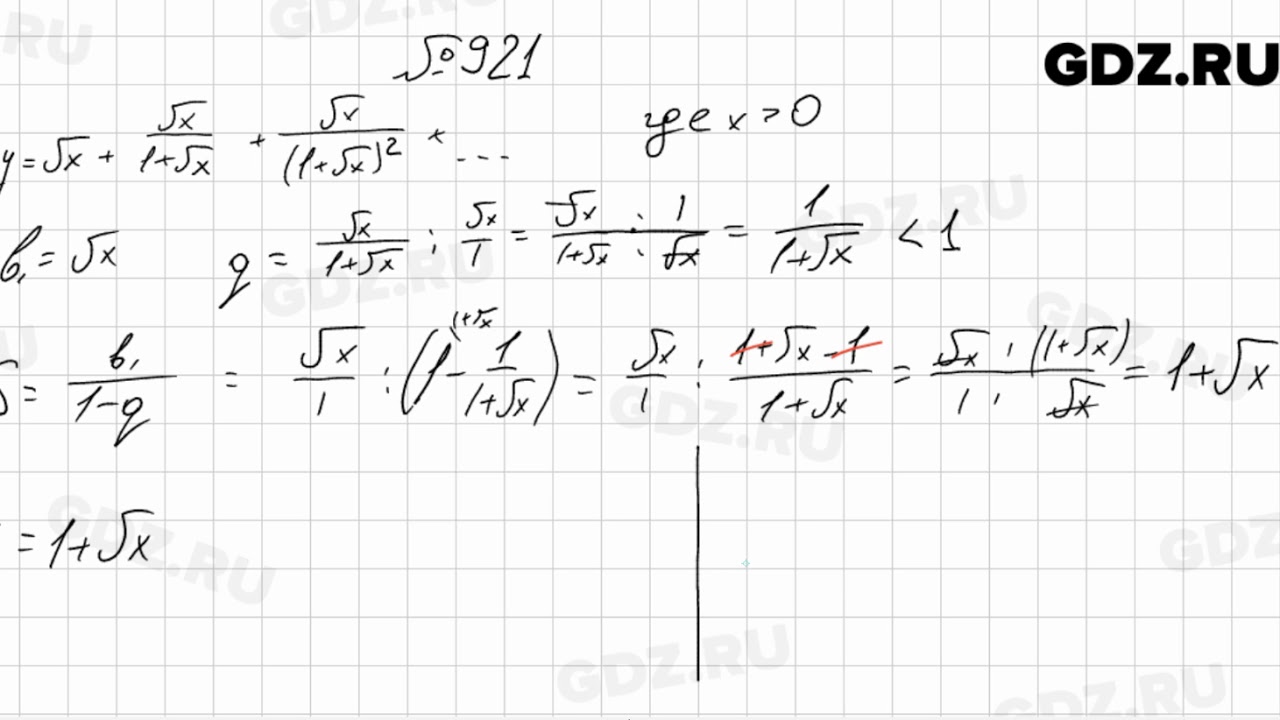
ГДЗ номер 921 алгебра 7 класс Мерзляк, Полонский

ГДЗ номер 921 алгебра 7 класс Мерзляк, Полонский

ГДЗ номер 921 алгебра 7 класс Мерзляк, Полонский

ГДЗ номер 921 алгебра 7 класс Никольский, Потапов

ГДЗ номер 921 алгебра 7 класс Никольский, Потапов

ГДЗ упражнение 921 алгебра 7 класс Макарычев, Миндюк

Номер №921 - ГДЗ по Геометрии 7-9 класс: Атанасян Л.С.

Номер 921 - ГДЗ по алгебре 7 класс Макарычев, Миндюк, Нешков

Номер 921 - ГДЗ по алгебре 7 класс Макарычев, Миндюк, Нешков

Номер 921 - ГДЗ по алгебре за 7 класс Мерзляк, Полонский, Якир

ГДЗ задание 921 алгебра 7 класс Макарычев, Миндюк

ГДЗ вправа 921 алгебра 8 класс Кравчук, Пидручна

ГДЗ номер 921 алгебра 8 класс Мерзляк, Полонский

ГДЗ номер 921 алгебра 8 класс Мерзляк, Полонский

ГДЗ номер 921 алгебра 8 класс Мерзляк, Полонский

ГДЗ номер 921 алгебра 8 класс Мерзляк, Полонский

ГДЗ номер 921 алгебра 8 класс Мерзляк, Полонский

Номер задания №921 - ГДЗ по Алгебре 7 класс: Макарычев Ю.Н.

ГДЗ упражнение 921 алгебра 10-11 класс Алимов, Колягин

ГДЗ упражнение 921 алгебра 10-11 класс Алимов, Колягин

ГДЗ Номер 921 Алгебра 7 класс Макарычев ФГОС | Учебник

ГДЗ упражнение 921 алгебра 8 класс Макарычев, Миндюк

ГДЗ упражнение 921 алгебра 8 класс Макарычев, Миндюк

Номер 921 - ГДЗ по алгебре 8 класс Макарычев, Миндюк с ответом и решением

Номер 921 - ГДЗ по алгебре 8 класс Макарычев, Миндюк с ответом и решением

Номер 921 - ГДЗ по алгебре 9 класс Макарычев, Миндюк, Нешков

Номер №921 - ГДЗ по алгебре 9 класс Мерзляк, Полонский, Якир с ...

ГДЗ задание 921 алгебра 9 класс Макарычев, Миндюк

ГДЗ упражнение 921 алгебра 9 класс Макарычев, Миндюк

921 - Алгебра 9 класс Мерзляк - YouTube

Задание №2 по теме "Решение задач через уравнение" Алгебра 7 класс ...

Дидактические материалы, Алгебра, 7кл. , Звавич, Кузнецова, Суворова ...

Скачать Учебник. Алгебра. 7 класс. КШ - | Bizdin.kg

Алгебра 7 класс в таблицах и схемах

Учебник вис 7 9 класс

  • Вперед Автоматизированная рабочее место схема
  • Назад Социальная сеть кино

Новые страницы

Александр карнаухов

Contact денежные переводы

Действия картинки для детей дошкольного возраста

Фитинги для смесителя в ванной

Гдз по русскому языку 3 класс рабочая тетрадь виноградова

Гдз тетрадь математика 3 класс

Грязный парк

Инструкция фм модулятора

Когда перестали выпускать ваз 21099

Колизей фитнес челябинск

Конвертер емкости конденсатора

Красноярский завод холодильников бирюса

Куб из бумаги

Лукашенко физика

Мазда 3 2014 года цена

Nissan x trail распиновка датчика кислорода

Ногти как у бабы яги картинки

Образец как писать письмо по английскому

Пахнут свежестью сирени

Почта спортивная самара

Рассмотрение законодательной инициативы

Ремонт тв philips

Ретро спортивные костюмы купить

Сериал марафон желаний смотреть онлайн бесплатно

Сигнализатор стг 1 2

Сила фитнеса

Стадии облысения у мужчин

Структура физической культуры и спорта

Туз пентаклей таро картинки

Золотые ворота во владимире рисунки

cdn.zecar.ru