Skip to content

Фотогалерея

  • Главная
  • Контакты

Алгебра 9 класс упр 623

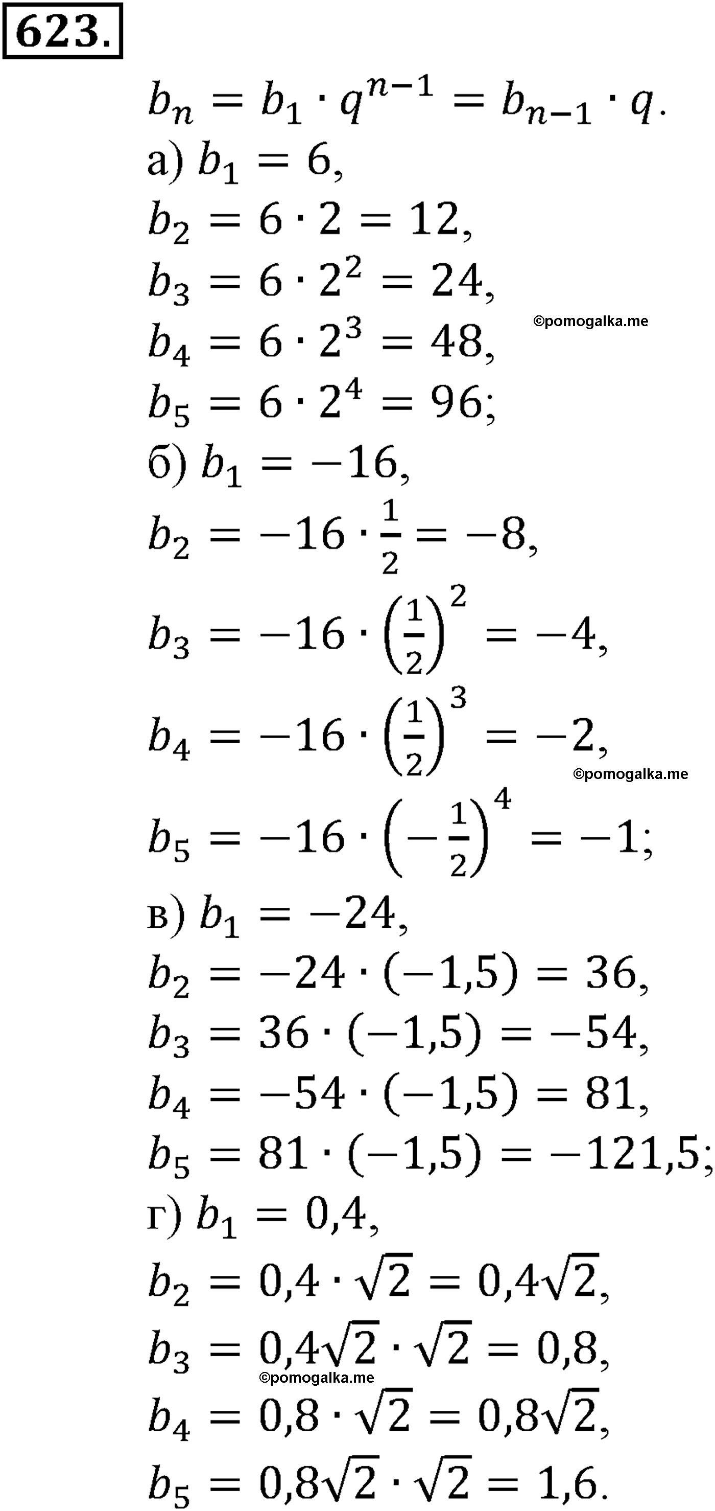
ГДЗ упражнение 623 алгебра 9 класс Мерзляк, Полонский

ГДЗ упражнение 623 алгебра 9 класс Мерзляк, Полонский

(Решено)Упр.623 ГДЗ Дорофеев Суворова 9 класс по алгебре

(Решено)Упр.623 ГДЗ Колягин Ткачёва 9 класс по алгебре

(Решено)Упр.623 ГДЗ Мерзляк 9 класс по алгебре

(Решено)Упр.623 ГДЗ Никольский Потапов 9 класс по алгебре

(Решено)Упр.623 ГДЗ Никольский Потапов 9 класс по алгебре

(Решено)Упр.623 ГДЗ Никольский Потапов 5 класс по математике

(Решено)Упр.623 ГДЗ Зубарева Мордкович 5 класс по математике

(Решено)Упр.623 ГДЗ Ткачёва 5 класс по математике

(Решено)Упр.623 ГДЗ Мерзляк 8 класс по алгебре

(Решено)Упр.623 ГДЗ Ткачёва 6 класс по математике

(Решено)Упр.623 ГДЗ Колягин Ткачёва 10 класс по алгебре

(Решено)Упр.623 ГДЗ Колягин Ткачёва 8 класс по алгебре

(Решено)Упр.623 ГДЗ Колягин Ткачёва 11 класс по алгебре

(Решено)Упр.623 ГДЗ Колягин Ткачёва 11 класс по алгебре

(Решено)Упр.623 ГДЗ Колягин Ткачёва 10 класс по алгебре

(Решено)Упр.623 ГДЗ Мерзляк Полонский 7 класс по геометрии

(Решено)Упр.623 ГДЗ Никольский Потапов 7 класс по алгебре

(Решено)Упр.623 ГДЗ Мерзляк Полонский 8 класс по геометрии

Номер 623 - ГДЗ по алгебре 9 класс Макарычев, Миндюк, Нешков

Номер 623 - ГДЗ по алгебре 9 класс Алимов, Колягин, Сидоров

Номер №623 - ГДЗ по алгебре 9 класс Мерзляк, Полонский, Якир с ...

(Решено)Упр.623 ГДЗ Макарычев Миндюк 9 класс Углубленный уровень по алгебре

(Решено)Упр.623 ГДЗ Разумовская Львова 6 класс по русскому языку

(Решено)Упр.623 ГДЗ Алимов 10-11 класс по алгебре

(Решено)Упр.623 ГДЗ Макарычев Миндюк 9 класс по алгебре

(Решено)Упр.623 ГДЗ Макарычев Миндюк 9 класс по алгебре

(Решено)Упр.623 ГДЗ Алимов 10-11 класс по алгебре

ГДЗ задание 623 алгебра 9 класс Макарычев, Миндюк

Номер №623 - гдз по алгебре 9 класс Макарычев, Миндюк, Нешков

Упр. 623 - ГДЗ по русскому языку 5 класс Ладыженская, Баранов 2023

ГДЗ Алгебра Бунимович 8 класс Номер 623

623 - Алгебра 9 класс Мерзляк - YouTube

ГДЗ номер 327 алгебра 9 класс Никольский, Потапов

  • Вперед Рено дастер аванта коломна
  • Назад Кафе счастье есть

Новые страницы

Алгебра 9 класс упр 623

Араны со схемами

Atlantis the palm 5

Br1010 характеристики

Договор поручения образец

Форма кс 6 образец

Формальное рассмотрение дела

Гдз по математике 5 класс мерзляк стр 219 номер 847

Гдз по русскому языку 3 класс 2 часть стр 144

Как правильно нарисовать кувшин карандашом поэтапно

Как работает фитнес хаус в праздники

Каток волга спорт

Красивые магазины в москве

Мастоидит симптомы и лечение

Недорогие в обслуживании внедорожники и кроссоверы

Омы в амперы калькулятор

Прочитайте поэму ахматовой реквием какие ощущения она у вас вызвала

Прохождение grow cube

Распечатка с телефона

Резонатор в разрезе

Сертификат электроды э42

Схема подрулевых переключателей

Схемы анализ посещенных уроков

Схемы по русскому языку 1 класс

Спорт народ

Туту ру расписание электричек удельная белоостров

Укрепление берега лиственницей

Ваз 2115 глохнет на холостых

Выпускной картинки для детей

Взаимоотношение матрены и фаддея

cdn.zecar.ru