Skip to content

Фотогалерея

  • Главная
  • Контакты

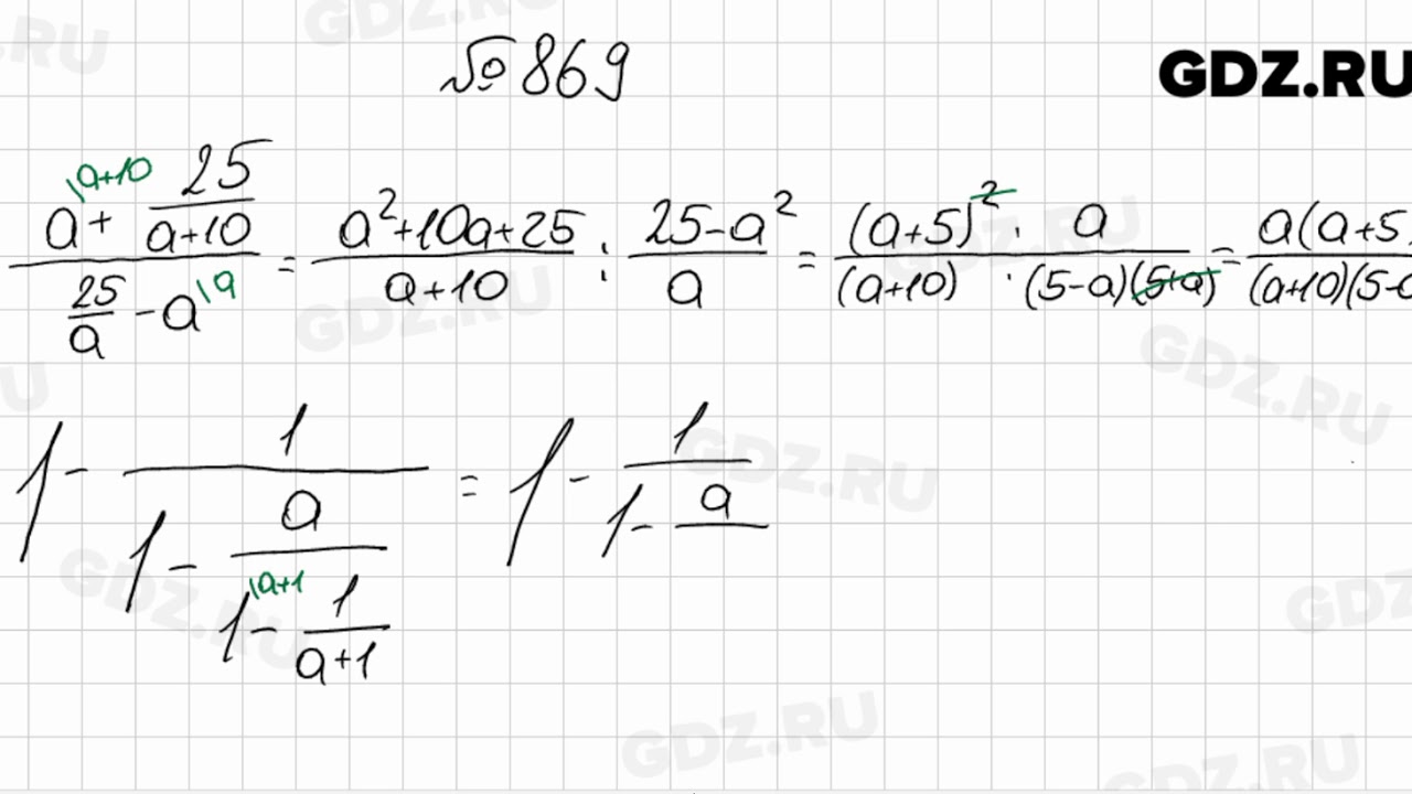
Алгебра 869

ГДЗ упражнение 869 алгебра 9 класс Мерзляк, Полонский

ГДЗ упражнение 869 алгебра 10 класс Колягин, Ткачева

ГДЗ упражнение 869 алгебра 7 класс Макарычев, Миндюк

ГДЗ упражнение 869 алгебра 9 класс Макарычев, Миндюк

ГДЗ упражнение 869 алгебра 7 класс Макарычев, Миндюк

ГДЗ задание 869 алгебра 9 класс Макарычев, Миндюк

ГДЗ номер 869 алгебра 8 класс Мерзляк, Полонский

ГДЗ номер 869 алгебра 8 класс Мерзляк, Полонский

ГДЗ упражнение 869 алгебра 7 класс Дорофеев, Суворова

ГДЗ номер 869 алгебра 7 класс Мерзляк, Полонский

ГДЗ упражнение 869 алгебра 10 класс Колягин, Ткачева

ГДЗ упражнение 869 алгебра 8 класс Макарычев, Миндюк

ГДЗ задание 869 алгебра 7 класс Макарычев, Миндюк

Номер 869 - ГДЗ по алгебре 9 класс Макарычев, Миндюк, Нешков

ГДЗ упражнение 869 алгебра 10-11 класс Алимов, Колягин

ГДЗ упражнение 869 алгебра 9 класс Макарычев, Миндюк

ГДЗ упражнение 869 алгебра 10-11 класс Алимов, Колягин

Номер №869 - ГДЗ по Алгебре 7 класс: Мерзляк А.Г.

алгебра № 869 - YouTube

ГДЗ задание 869 алгебра 9 класс Макарычев, Миндюк

Номер №869 - ГДЗ по Алгебре 9 класс: Мерзляк А.Г.

Номер 869 - ГДЗ Алгебра 8 класс. Мерзляк учебник. Страница 219

869 - Алгебра 8 класс Мерзляк - YouTube

(Решено)Упр.869 ГДЗ Колягин Ткачёва 10 класс по алгебре

Номер задания №869 - ГДЗ по Алгебре 9 класс: Макарычев Ю.Н.

Задание, номер 869 - ГДЗ по алгебре 7 класс Макарычев, Миндюк

Линейная алгебра. ISBN: 978-5-8114-1427-7 - купить книгу в интернет ...

Современный урок. Алгебра. 11 класс – Аверсэв

Алгебра. 9 класс. Учебник. | Якир Михаил Семенович, Полонский Виталий ...

Ответы Mail.ru: Решить 8 уравнений по алгебре 8 класс.

Номер №869 - ГДЗ по Алгебре 8 класс: Мерзляк А.Г.

Упражнение - 869 гдз по алгебре 9 класс Солтан, Солтан

(Решено)Упр.869 ГДЗ Колягин Ткачёва 11 класс по алгебре

ГДЗ задание 649 алгебра 9 класс Макарычев, Миндюк

«Алгебра» підручник для 9 класу загальноосвітніх навчальних закладів ...

  • Вперед Как написать заявление о материальной помощи на работе образец
  • Назад Hsc 45z025u t sh

Новые страницы

Аэробус 321 схема уральские

Алгебра 869

Будерус логомакс u072

Дизайн проект детского сада

Гдз по контурным картам 8 класс география таможняя

Гдз русский язык 2 класс 2 часть соловейчик кузьменко учебник

Голография

Гремят суппорта круз

Инструктор в спортзале

Какие слова можно составить из слова рисунок

Какие змеи водятся в азовском море

Кт646б

Кт837б характеристики

Макколи корейский напиток

Математика петерсон учусь учиться

Математика сборник 6 класс гдз

Образец ходатайства о проведении строительно технической экспертизы

Окраска одежды в химчистке спб

Отвалился кардан

Раковина металлическая эмалированная

Рассмотрение споров по комиссии кадастров

Равнобедренный треугольник вписан в окружность

Решебник по русскому языку 9 ладыженская

Сделать страховку для шенгенской визы

Схема 61 трамвая

Схема маршрута 19 автобуса

Схемы иллюстрации

Спортивные топы дешево

Удалитель пней

Услуги лесорубов бригада

cdn.zecar.ru