Skip to content

Фотогалерея

  • Главная
  • Контакты

Алгебра 8 класс мерзляк 729

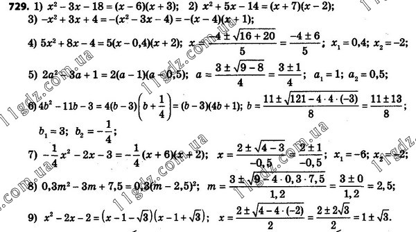
ГДЗ номер 729 алгебра 8 класс Мерзляк, Полонский

алгебра 8 клас збірник задач і контрольних робіт Мерзляк 9789664742839

Алгебра 8 клас (з поглибленим вивченням). Мерзляк А.Г., Полонський В.Б ...

Алгебра 8 класс. Технологические карты уроков по учебнику Мерзляка ...

ГДЗ § 27 27.21 алгебра 8 класс Мерзляк, Поляков

Номер 199 - ГДЗ Алгебра 8 класс. Мерзляк учебник. Страница 47

ГДЗ номер 729 алгебра 8 класс Мерзляк, Полонский

Алгебра 8 Контрольные Мерзляк ДМ - КОНТРОЛЬНЫЕ РАБОТЫ

Итоговая Контрольная Работа 7 Класс Алгебра Мерзляк – Telegraph

ГДЗ номер 362 алгебра 8 класс Мерзляк, Полонский

Варинат 3 номер 172 - ГДЗ по алгебре 8 класс Мерзляк, Полонский ...

729 » Вправи 701 - 800 » ГДЗ Алгебра 8 клас Мерзляк 2021

ГДЗ номер 729 алгебра 8 класс Мерзляк, Полонский

Купити книгу Алгебра. Підручник для 8 класу - Аркадій Мерзляк, Віталій ...

Алгебра 8 класс. Методическое пособие - Буцко Е.В., Мерзляк А.Г. и др ...

Підручник Алгебра 8 клас Мерзляк А. 2021 » Сторінка 2 » Rule.School ...

Алгебра. 9 класс. Методическое пособие - Буцко Е.В., Мерзляк А.Г. и др ...

КР-4 Неравенства с двумя переменными. Алгебра 9 (угл) | Мерзляк

ГДЗ номер 788 алгебра 8 класс Мерзляк, Полонский

Номер 729 - ГДЗ по алгебре за 8 класс Мерзляк, Полонский ответы из учебника

Вправа 729 алгебра Мерзляк Полонський Якір гдз 8 клас

Итоговая контрольная №7, алгебра 8 класс. По учебнику Мерзляка - YouTube

ГДЗ Номер 11 Алгебра 8 класс Мерзляк. Углубленный параграф 8 (с ...

Алгебра., 8 клас. Мерзляк А.Г., Полонський В.Б., Якір М.С.: продажа ...

Математика. Алгебра. Методические рекомендации. 7-9 классы (к учебным ...

ГДЗ Номер 348 Алгебра 8 класс Макарычев Углубленный | Гарантия хорошей ...

ГДЗ номер 42 алгебра 8 класс Мерзляк, Полонский

Алгебра 11 класс - Мерзляк А.Г., Номировский Д.А., Полонский В.Б. и др ...

ГДЗ КР-4. Квадратные корни Вариант 3 Алгебра 8 класс Мерзляк ...

Алгебра 7 Класс Картинки Учебника – Telegraph

Підручник з алгебри 7 клас. А. Г. Мерзляк.: цена 79 грн - купить Книги ...

Алгебра Підручник 7 клас Гімназія - Підручники 7 клас - Підручники та ...

ОК ГДЗ Алгебра 9 класс Мерзляк Дидактические | Гарантия хорошей оценки

  • Вперед Образец разбора деепричастия
  • Назад Письмо подруге образец

Новые страницы

3Л341а

Алгебра 8 класс мерзляк 729

Английский язык 5 класс страница 72 номер 2

Браузер хамелеон

Декларация 3 ндфл на автомобиль менее 3 лет образец

Доброе утро на английском языке мужчине романтичные картинки

Договор сублизинга образец

Гдз по математике 2 часть 5 класс виленкин номер 583

Гдз по математике 4 класс учебник моро бантова бельтюкова волкова и степанова

Какие бывают слоги 2 класс школа россии презентация

Кнопка сетевая

Лента демпферная самоклеющаяся

Надежда песня анна герман слушать

Не выключаются дворники ваз 2107

Образец благодарственное письмо родителям военнослужащего

Приказ о дисциплинарном взыскании в виде выговора за прогул образец

Пьяная бочка смеситель

Размеры коллекторных шкафов

Редуктор давления горячей воды

Ремонт стабилизаторов

Схема предохранителей мицубиси кантер

Снять помещение под художественную мастерскую в москве

Сравнить рено дастер кашкай

Срок действия патента на промышленный образец составляет сколько лет

Трасса архангельск вологда

Тунис город тунис

Услуги в воскресенске

Велотренажер магнитный fitness

Виды раковых опухолей

Запчасти ленд ровер кунцево

cdn.zecar.ru