Skip to content

Фотогалерея

  • Главная
  • Контакты

Алгебра 782

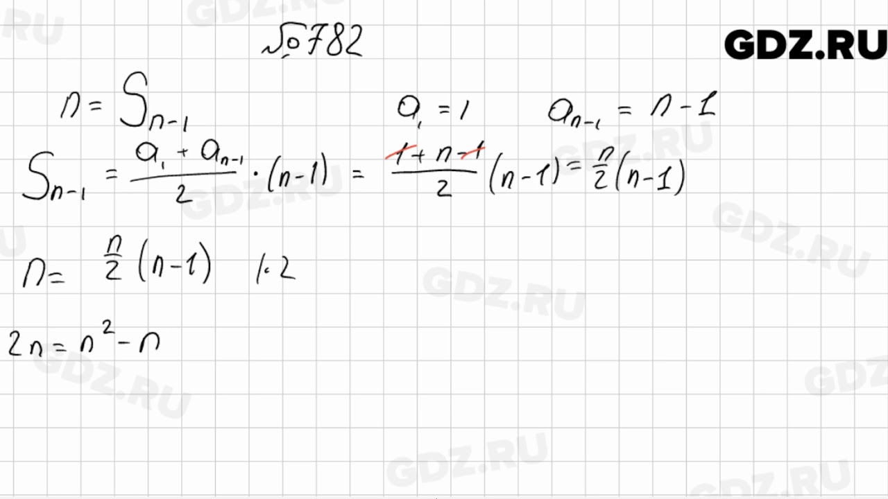
ГДЗ номер 782 алгебра 9 класс Никольский, Потапов

ГДЗ номер 782 алгебра 9 класс Никольский, Потапов

ГДЗ номер 782 алгебра 8 класс Мерзляк, Полонский

ГДЗ номер 782 алгебра 8 класс Мерзляк, Полонский

ГДЗ номер 782 алгебра 8 класс Мерзляк, Полонский

(Решено)Упр.782 ГДЗ Алимов 10-11 класс по алгебре

ГДЗ упражнение 782 алгебра 8 класс Дорофеев, Суворова

ГДЗ упражнение 782 алгебра 8 класс Дорофеев, Суворова

ГДЗ упражнение 782 алгебра 10-11 класс Алимов, Колягин

ГДЗ упражнение 782 алгебра 10-11 класс Алимов, Колягин

ГДЗ упражнение 782 алгебра 10 класс Колягин, Ткачева

Ответы ГДЗ Алгебра за 7 класс Углубленный уровень Номера задач: 782

ГДЗ упражнение 782 алгебра 7 класс Колягин, Ткачева

Номер 782 - ГДЗ по алгебре за 8 класс Мерзляк, Полонский ответы из учебника

ГДЗ номер 782 алгебра 7 класс Мерзляк, Полонский

ГДЗ номер 782 алгебра 7 класс Мерзляк, Полонский

ГДЗ номер 782 алгебра 7 класс Мерзляк, Полонский

Номер 782 - ГДЗ по алгебре за 8 класс Мерзляк, Полонский ответы из учебника

Номер 782 - ГДЗ по алгебре 9 класс Макарычев, Миндюк, Нешков

Номер 782 - ГДЗ по алгебре 9 класс Макарычев, Миндюк, Нешков

ГДЗ упражнение 782 алгебра 8 класс Макарычев, Миндюк

ГДЗ упражнение 782 алгебра 7 класс Макарычев, Миндюк

ГДЗ вправа 782 алгебра 7 класс Тарасенкова, Богатырева

Номер №782 - ГДЗ по алгебре 9 класс Мерзляк, Полонский, Якир с ...

Номер 782 - ГДЗ по алгебре 7 класс Макарычев, Миндюк, Нешков

Номер 782 - ГДЗ по алгебре за 7 класс Мерзляк, Полонский, Якир

Номер 782 - ГДЗ по алгебре за 7 класс Мерзляк, Полонский, Якир

Номер 782 - ГДЗ по алгебре 7 класс Макарычев, Миндюк, Нешков

ГДЗ задание 782 алгебра 7 класс Макарычев, Миндюк

Номер 782 - ГДЗ по алгебре 8 класс Макарычев, Миндюк с ответом и решением

Номер 782 - ГДЗ по алгебре 8 класс Макарычев, Миндюк с ответом и решением

ГДЗ задание 782 алгебра 7 класс Макарычев, Миндюк

ГДЗ Номер 782 Алгебра 7 класс Дорофеев | Гарантия оценки

ГДЗ упражнение 782 алгебра 9 класс Макарычев, Миндюк

782 - Алгебра 9 класс Мерзляк - YouTube

  • Вперед Степ 47 английский 2 класс
  • Назад Театр ленком основная сцена

Новые страницы

Армения в конце апреля

Бп foxconn fx 500a схема

Дивизия дзержинского в москве

Гдз по русскому номер 326

Гетры схемы и описания

Карта оренбургской области с районами и населенными пунктами подробная с районами

Картинки с днем рождения мужчине пошлые

Картинки с днем рождения внуку 8 лет

Картинки спасибо родителям за жизнь в день рождения от дочери трогательные

Копаем колодец на даче

Лечение параноидной шизофрении

Лечение трихинеллеза у человека препараты

Мастер электромонтажного участка

О чем стихотворение поэт лермонтова

Образец платежной ведомости

Отрезки касательных к окружности

Пепсин рецепт

Письмо на английском образец с переводом

Письмо о оплате за другую организацию образец

Пожалел волк кобылу

Приказ на списание нематериальных активов образец

Решу огэ задание 6

Рисунок авм из стандофф 2 скины

Шакал картинка мем

Схема н нн в прилагательных

Сколько тренироваться в неделю для похудения

Спортивные секции волгоград

Упр 244 по русскому языку 7 класс ладыженская

Wilo top s 30 10

Замена переднего тормозного шланга ваз 2114

cdn.zecar.ru