Skip to content

Фотогалерея

  • Главная
  • Контакты

Алгебра 761

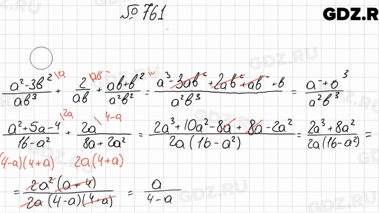
ГДЗ упражнение 761 алгебра 7 класс Дорофеев, Суворова

Ответы ГДЗ Алгебра за 7 класс Углубленный уровень Номера задач: 761

Номер 761 - ГДЗ по алгебре за 8 класс Мерзляк, Полонский ответы из учебника

Номер 761 - ГДЗ по алгебре 7 класс Дорофеев, Суворова с ответом и решением

Номер 761 - ГДЗ по алгебре 9 класс Макарычев, Миндюк, Нешков

ГДЗ упражнение 761 алгебра 8 класс Макарычев, Миндюк

Номер 761 - ГДЗ по алгебре 7 класс Макарычев, Миндюк, Нешков

Номер 761 - ГДЗ по алгебре 7 класс Макарычев, Миндюк, Нешков

Номер 761 - ГДЗ по алгебре 7 класс Колягин, Ткачева, Федорова, Алимов

Номер 761 - ГДЗ по алгебре 8 класс Макарычев, Миндюк с ответом и решением

ГДЗ Номер 761 Алгебра 7 класс Дорофеев | Учебник

Решение номера 761 - Алгебра 7 класс Дорофеев, Суворова учебник

ГДЗ Номер 761 Алгебра 8 класс Дорофеев | Гарантия хорошей оценки

ГДЗ Номер 761 Алгебра 7 класс Никольский | Гарантия хорошей оценки

761 - Алгебра 7 класс Колягин - YouTube

761 - Алгебра 8 класс Мерзляк - YouTube

Вся Алгебра в ОГЭ за 42 минуты - YouTube

756 - Алгебра 7 класс Мерзляк - YouTube

Алгебра. 7 класс. Базовый уровень. Электронная форма учебного пособия

БЖБ №1 – Алгебра — 7 сынып — 3 то?сан | СКУЛХАК

Упражнение № 761 – ГДЗ Алгебра 7 класс – Мерзляк А.Г., Полонский В.Б ...

СОР №1 – Алгебра — 9 сынып — 1 то?сан | СКУЛХАК

СОР №1 – Алгебра — 9 сынып — 1 то?сан | СКУЛХАК

Номер 761 - ГДЗ Алгебра 7 класс. Мерзляк учебник

Алгебра 8 класс (индивидуальное занятие)

Номер 761 - ГДЗ Алгебра 8 класс. Мерзляк учебник. Страница 186

Алгебра | Пикабу

Алгебра Мордкович 7/8/9 класс учебники/решебники | ВКонтакте

Алгебра и я | Пикабу

Картинки по запросу алгебра 7 класс формулы | Дискретная математика ...

Помогите решить пожалуйста!!! | вопрос #7843957

  • Вперед Инопроспорт хоккей
  • Назад Математика 5 класс виленкин учебник 2 часть номер 530

Новые страницы

Англ яз 8 класс биболетова рабочая тетрадь

Боли в ногах ночью причины и лечение

Бригада разнорабочих предлагает свои услуги

Декларация 3 ндфл 2021 год новая форма скачать бесплатно налоговая образец заполнения

Дезинформация контригра безыдейный

Дренажник 350 17

Гдз по матике 2 класс учебник 2

Гдз русская литература 2 класс 2 часть

Как нарисовать мультяшный мухомор

Как снять шкив коленвала ваз 21099 инжектор

Камаз 5320 схема систем

Конвекторы комфорт 20 технические характеристики

Маркетинг смешные картинки

Меридиан отель

О рыбаке и рыбке сказка

Обращение к двум лицам в письме образец

Омега б разболтовка колес

Откачка воды из дренажного колодца

По графику зависимости координаты колеблющегося тела от времени см рисунок 2 определите период

Приказ за нарушение трудовой дисциплины образец

Ремонт поларис в москве

Рено дастер и шкода йети сравнение

С окончанием отпуска прикольные картинки и выходом на работу после отпуска

Схема реле регулятора рр362 б1

Скупка бу аккумуляторов

Список рабочих на объекте образец

Справка для инвалидности с места работы образец

Сумма шести и произведения пяти и двух

Возведение стены из гипсокартона

Замена сальника вторичного вала кпп

cdn.zecar.ru