Skip to content

Фотогалерея

  • Главная
  • Контакты

Алгебра 723

ГДЗ упражнение 723 алгебра 9 класс Макарычев, Миндюк

ГДЗ номер 723 алгебра 7 класс Мерзляк, Полонский

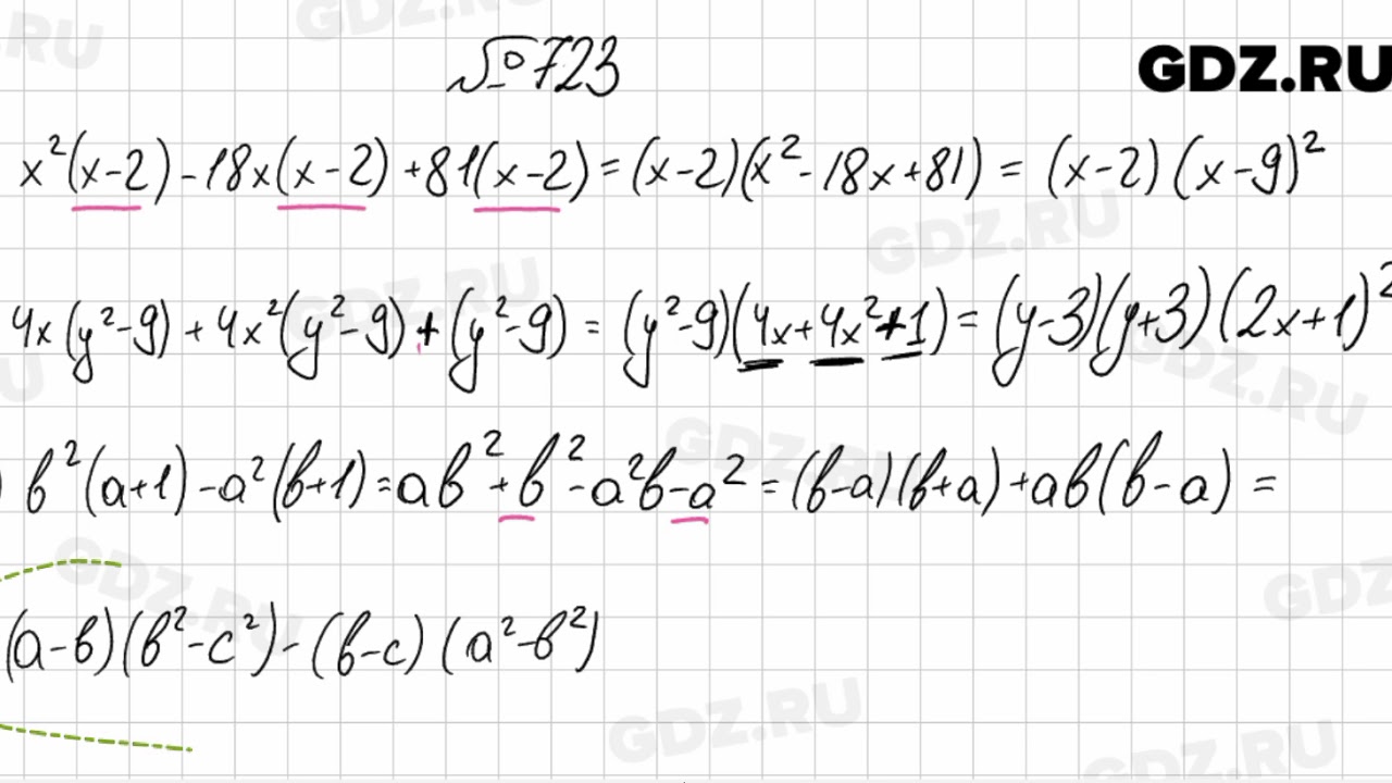
Номер 723 - ГДЗ по алгебре за 8 класс Мерзляк, Полонский ответы из учебника

ГДЗ номер 723 алгебра 8 класс Мерзляк, Полонский

ГДЗ номер 723 алгебра 9 класс Дорофеев, Суворова

ГДЗ задание 723 алгебра 8 класс Макарычев, Миндюк

ГДЗ номер 723 алгебра 8 класс Мерзляк, Полонский

ГДЗ номер 723 алгебра 7 класс Никольский, Потапов

ГДЗ упражнение 723 алгебра 8 класс Макарычев, Миндюк

ГДЗ упражнение 723 алгебра 9 класс Мерзляк, Полонский

ГДЗ задание 723 алгебра 7 класс Макарычев, Миндюк

ГДЗ номер 723 алгебра 8 класс Мерзляк, Полонский

ГДЗ упражнение 723 алгебра 10 класс Колягин, Ткачева

ГДЗ номер 723 алгебра 7 класс Никольский, Потапов

ГДЗ номер 723 алгебра 7 класс Никольский, Потапов

ГДЗ задание 723 алгебра 8 класс Макарычев, Миндюк

ГДЗ упражнение 723 алгебра 9 класс Макарычев, Миндюк

ГДЗ номер 723 алгебра 7 класс Мерзляк, Полонский

ГДЗ упражнение 723 алгебра 10-11 класс Алимов, Колягин

ГДЗ упражнение 723 алгебра 9 класс Мерзляк, Полонский

ГДЗ упражнение 723 алгебра 7 класс Макарычев, Миндюк

ГДЗ упражнение 723 алгебра 8 класс Колягин, Ткачева

ГДЗ номер 723 алгебра 8 класс Никольский, Потапов

Упражнение № 723 (Вариант 4) – ГДЗ Алгебра 7 класс – Мерзляк А.Г ...

ГДЗ номер 723 алгебра 9 класс Дорофеев, Суворова

ГДЗ упражнение 723 алгебра 8 класс Колягин, Ткачева

ГДЗ задание 723 алгебра 8 класс Макарычев, Миндюк

723 - Алгебра 7 класс Мерзляк - YouTube

Современный урок. Алгебра. 11 класс – Аверсэв

(Решено)Упр.723 ГДЗ Дорофеев Суворова 8 класс по алгебре

ГДЗ номер 723 алгебра 7 класс Мерзляк, Полонский

ГДЗ упражнение 723 алгебра 10-11 класс Алимов, Колягин

Номер 723 - ГДЗ по алгебре 7 класс Никольский, Потапов с ответом и решением

ГДЗ упражнение 723 алгебра 7 класс Макарычев, Миндюк

Алгебра 7 класс мерзляк ответы – Telegraph

  • Вперед Затвор на дверь
  • Назад Где наклеить стекло

Новые страницы

Администратор фитнес

Английский язык 2 класс учебник стр 53

Антиоксидантная формула эвалар

Двоичный счетчик

Евроспорт 1 тв сегодня

Гдз по геометрии 7 9 класс номер 240

Группа советских войск в германии

И слышно было до рассвета как ликовал француз

Исследовательский проект 10 класс образец

Как называется временной промежуток между началом реализации и окончанием проекта

Как прописать ключ лада приора

Климатограмма владивостока

Контекст схему

Морт кунстлер картины

Найдите в предложениях уточняющие

Образец заполнения журнала регистрации коллегиальных заключений психолого педагогического консилиума

Обществознание гдз 6 класс рабочая тетрадь

Олимпийский спорт в ссср

Особенности режима рабочего времени в трудовом договоре образец

Plastik 71 характеристики

Платежное поручение форма 0401060 образец заполнения

Предохранители на аккумуляторе шкода фабия

Русский язык стр 90 упр 9

Схемы вентиляторов охлаждения ваз

Синдром запястного канала лечение в домашних условиях

Согласие соседей на строительство дома ближе 3 метров образец скачать

Тамара павлюченко википедия

Тату эскиз майский жук

Удаление плесени с потолка

Возможно все на невозможное просто требуется больше времени картинки

cdn.zecar.ru