Skip to content

Фотогалерея

  • Главная
  • Контакты

Алгебра 717

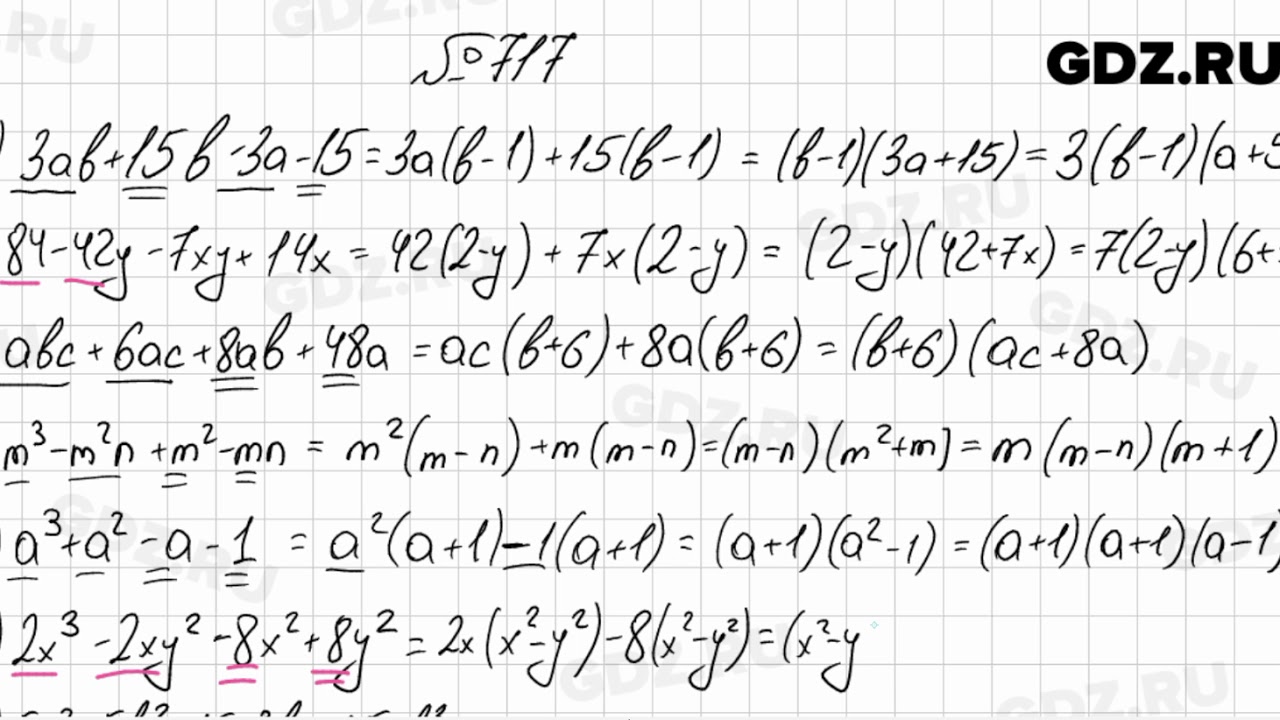
ГДЗ упражнение 717 алгебра 9 класс Макарычев, Миндюк

ГДЗ упражнение 717 алгебра 9 класс Макарычев, Миндюк

ГДЗ номер 717 алгебра 7 класс Мерзляк, Полонский

Номер 717 - ГДЗ по алгебре за 7 класс Мерзляк, Полонский, Якир

ГДЗ номер 717 алгебра 8 класс Никольский, Потапов

ГДЗ номер 717 алгебра 7 класс Мерзляк, Полонский

ГДЗ задание 717 алгебра 9 класс Макарычев, Миндюк

ГДЗ упражнение 717 алгебра 7 класс Дорофеев, Суворова

ГДЗ номер 717 алгебра 8 класс Мерзляк, Полонский

ГДЗ упражнение 717 алгебра 7 класс Дорофеев, Суворова

ГДЗ упражнение 717 алгебра 9 класс Мерзляк, Полонский

ГДЗ упражнение 717 алгебра 8 класс Колягин, Ткачева

ГДЗ номер 717 алгебра 7 класс Никольский, Потапов

ГДЗ задание 717 алгебра 8 класс Макарычев, Миндюк

ГДЗ упражнение 717 алгебра 10 класс Колягин, Ткачева

ГДЗ номер 717 алгебра 8 класс Мерзляк, Полонский

ГДЗ упражнение 717 алгебра 8 класс Колягин, Ткачева

ГДЗ задание 717 алгебра 8 класс Макарычев, Миндюк

ГДЗ упражнение 717 алгебра 8 класс Макарычев, Миндюк

ГДЗ упражнение 717 алгебра 9 класс Солтан, Солтан

ГДЗ упражнение 717 алгебра 10-11 класс Алимов, Колягин

ГДЗ Номер 717 Алгебра 7 класс Никольский | Учебник

ГДЗ упражнение 717 алгебра 7 класс Дорофеев, Суворова

ГДЗ упражнение 717 алгебра 8 класс Макарычев, Миндюк

ГДЗ упражнение 717 алгебра 10-11 класс Алимов, Колягин

ГДЗ упражнение 717 алгебра 9 класс Мерзляк, Полонский

ГДЗ задание 717 алгебра 7 класс Макарычев, Миндюк

ГДЗ упражнение 717 алгебра 9 класс Солтан, Солтан

717 - Алгебра 7 класс Мерзляк - YouTube

Линейная алгебра. ISBN: 978-5-8114-1427-7 - купить книгу в интернет ...

#алгебра #пособие Как семикласснику самостоятельно освоить курс алгебры ...

ГДЗ упражнение 717 алгебра 9 класс Макарычев, Миндюк

Номер 717 - ГДЗ по алгебре 8 класс Макарычев, Миндюк с ответом и решением

Номер задания №717 - ГДЗ по Алгебре 7 класс: Макарычев Ю.Н.

Номер 717 - ГДЗ по алгебре 8 класс Макарычев, Миндюк с ответом и решением

  • Вперед Электросхемы volkswagen
  • Назад Ta7358

Новые страницы

Афтозный стоматит у детей лечение

Акт модернизации основных средств образец заполнения

Арашан киргизия

Дружный класс картинки рисунки

Ебидоеби липецк

Форд джи ти фото

Где найти чертеж книжный шкаф из клена сокровищница тысячи томов

Гдз по математике 6 класс мерзляк номер 1371

Изобрази на рисунке прямоугольник имеющий площадь на 8 см2 меньше исходного так чтобы весь исходный

Как доказать что это параллелограмм

Как определить люфт рулевой рейки

Как заменить счетчик воды в квартире

Касательная окружности свойства

Книга бойцовский клуб

Контурная карта африка сделанная

Корабль рисунок карандашом для детей пиратский

Лестница на террасу деревянная своими руками чертежи и размеры

Маршрут 54 чебоксары схема

Настройка компьютера для работы с эцп

Неисправность датчика кислорода ваз 2114

Пиксельная форма в армии нового образца

Программа тренировок на каждый

Решак математика

Схема органов человека 3 класс

Схемы боксер 3

Слипкнот альбом 1999

Спайсер мост уаз хантер

Трение физика 9 класс

Установка и крепление наличников

Утилизация старой мебели из квартиры

cdn.zecar.ru