Skip to content

Фотогалерея

  • Главная
  • Контакты

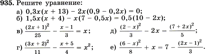
Алгебра 7 класс упр 935

(Решено)Упр.935 ГДЗ Мерзляк Полонский 7 класс по алгебре

(Решено)Упр.935 ГДЗ Никольский Потапов 7 класс по алгебре

(Решено)Упр.935 ГДЗ Дорофеев Суворова 7 класс по алгебре

ГДЗ номер 935 алгебра 7 класс Мерзляк, Полонский

(Решено)Упр.935 ГДЗ Ткачёва 5 класс по математике

(Решено)Упр.935 ГДЗ Зубарева Мордкович 5 класс по математике

(Решено)Упр.935 ГДЗ Колягин Ткачёва 11 класс по алгебре

(Решено)Упр.935 ГДЗ Колягин Ткачёва 11 класс по алгебре

(Решено)Упр.935 ГДЗ Мерзляк Полонский 9 класс по геометрии

(Решено)Упр.935 ГДЗ Никольский Потапов 9 класс по алгебре

(Решено)Упр.935 ГДЗ Мерзляк 9 класс по алгебре

ГДЗ номер 935 алгебра 7 класс Никольский, Потапов

ГДЗ номер 935 алгебра 7 класс Никольский, Потапов

Номер 935 - ГДЗ по алгебре 7 класс Макарычев, Миндюк, Нешков

ГДЗ задание 935 алгебра 7 класс Макарычев, Миндюк

(Решено)Упр.935 Часть 2 ГДЗ Дорофеев Петерсон 5 класс по математике

(Решено)Упр.935 ГДЗ Атанасян 7-9 класс по геометрии

(Решено)Упр.935 ГДЗ Атанасян 7-9 класс по геометрии

(Решено)Упр.935 ГДЗ Макарычев Миндюк 9 класс по алгебре

(Решено)Упр.935 ГДЗ Макарычев Миндюк 9 класс по алгебре

(Решено)Упр.935 ГДЗ Макарычев Миндюк 9 класс по алгебре

Решебник гдз по Алгебре за 7 класс - Глава 5. Формулы сокращённого ...

(Решено)Упр.560 ГДЗ Муравин 7 класс по алгебре

(Решено)Упр.208 ГДЗ Муравин 7 класс по алгебре

(Решено)Упр.58 ГДЗ Муравин 7 класс по алгебре

ГДЗ Вероятность и статистика 7-9 класс Высоцкий, Ященко 2023 ФГОС ...

(Решено)Домашняя контрольная работа 9 ГДЗ Муравин 7 класс по алгебре

ГДЗ Номер 534 (532) Алгебра 7 класс Макарычев Углубленный | Гарантия ...

ГДЗ по алгебре 7 класс Макарычев, Миндюк, решебник онлайн

Номер задания № 1.22 - ГДЗ по Алгебре 7 класс: Мордкович

Алгебра 7 класс контрольная работа 2 макарычев – Контрольные работы по ...

«Алгебра. 7 класс», Н. Г. Миндюк – скачать pdf на Литрес

ГДЗ контрольная работа / КР-4 Вариант 2 алгебра 7 класс Математические ...

Алгебра 7 класс упр 490 – Telegraph

Номер №222 - ГДЗ по Алгебре 7 класс: Мерзляк А.Г.

  • Вперед Гдз по алгебре 10 класс мерзляк дидактический материал базовый
  • Назад Картинки свинка пеппа крутая

Новые страницы

Автомобили из польши только из

База отдыха гвоздика в анапе

База отдыха троя горный алтай

Чем отличается бойлер от водонагревателя

Четырехгранные ключи

Чумаков в проекте один в один

Диф усилитель на оу

Дильшах ветреный

Фитнес хаус санкт петербург большевиков 7

Фитнес клуб в центре

Грунтовый светильник

Инженер электроснабжения вакансии

Как округлять до единиц десятичные дроби

Карта осадков онлайн чехов

Картинка коробка для детей на прозрачном фоне для детей

Машина марк 1

Нарвские ворота санкт петербург

Подъемный кран картинка для детей

Разборка генератора бош лада гранта

Решебник по русскому 6 класса

Рисование принципиальных схем программа

Схема онкоцентра блохина

Смелый смелость храбрость храбрый

Смешные картинки салли фейс

Тл 431 регулятор напряжения

Упр 473 по русскому языку 8 класс бархударов

Усилитель для наушников схема

Успенский собор хабаровск

Вентиляция картера фиат альбеа

Ветровая доска для крыши как установить

cdn.zecar.ru