Skip to content

Фотогалерея

  • Главная
  • Контакты

Алгебра 7 класс макарычев миндюк нешков и суворова гдз ответы

Номер 1241 - ГДЗ по алгебре 7 класс Макарычев, Миндюк, Нешков

Номер задания №553 - ГДЗ по Алгебре 7 класс: Макарычев Ю.Н.

ГДЗ задание 1169 алгебра 7 класс Макарычев, Миндюк

Задание, номер 226 - ГДЗ по алгебре 7 класс Макарычев, Миндюк

Задание, номер 316 - ГДЗ по алгебре 7 класс Макарычев, Миндюк

ГДЗ задание 1147 алгебра 7 класс Макарычев, Миндюк

ГДЗ по алгебре 7 класс - Ю.Н. Макарычев, Н.Г. Миндюк, К.И. Нешков, С.Б ...

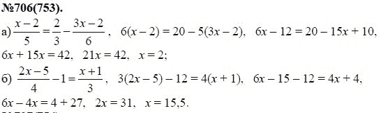
Задание, номер 736 - ГДЗ по алгебре 7 класс Макарычев, Миндюк

ГДЗ упражнение 1037 алгебра 7 класс Макарычев, Миндюк

Номер 17 - ГДЗ по алгебре 7 класс Макарычев, Миндюк, Нешков

ГДЗ задание 146 алгебра 7 класс Макарычев, Миндюк

Номер 1236 - ГДЗ по алгебре 7 класс Макарычев, Миндюк, Нешков

Алгебра. 7 класс. Учебник. Углубленный уровень - Макарычев Ю.Н., Миндюк ...

ГДЗ упражнение 584 алгебра 7 класс Макарычев, Миндюк

ГДЗ Алгебра 7 класс Макарычев, Теляковский 2024 ФГОС, Решение, Номера, 155

Гдз алгебра 7 класс макарычев, миндюк, нешков - учебник (углубленный ...

Алгебра. 7 класс. Учебник. Ю.Н. Макарычев, Н.Г. Миндюк, К.И. Нешков, С ...

ГДЗ задание 66 алгебра 7 класс Макарычев, Миндюк

Алгебра просвещение гдз: ГДЗ Алгебра 7 класс Макарычев, Миндюк, Нешков

ГДЗ Алгебра 7 класс Макарычев, Миндюк, Нешков, Теляковский 2023 ФГОС ...

ГДЗ по алгебре 7 класс Макарычев, Миндюк номер 939

алгебра 7 класс макарычев учебник числовые выражения

ГДЗ упражнение 1107 алгебра 7 класс Макарычев, Миндюк

Алгебра. 7 класс: поурочные планы по учебнику Ю. Н. Макарычева, Н. Г ...

ГДЗ задание 1179 алгебра 7 класс Макарычев, Миндюк

978- Алгебра 7 класс Макарычев - смотреть видео онлайн от «Номера ...

Алгебра 7 КЛАСС (Макарычев, Миндюк, Муравин, Суворова) 1976 год скачать ...

ГДЗ Алгебра 7 класс Макарычев, Теляковский 2024 ФГОС, Решение, Номера, 340

ГДЗ задание 1071 алгебра 7 класс Макарычев, Миндюк

ГДЗ по Алгебре 9 класс Макарычев, Миндюк, Нешков, Суворова | ГДЗ по ...

Учебник по алгебре для 7 класса авторы Макарычев.Миндюк и др.

ГДЗ задание 137 алгебра 7 класс Макарычев, Миндюк

Задание, номер 790 - ГДЗ по алгебре 7 класс Макарычев, Миндюк

ГДЗ задание Контрольные вопросы и задания §6 алгебра 7 класс Макарычев ...

Задание, номер 3 - ГДЗ по алгебре 7 класс Макарычев, Миндюк

  • Вперед Диагностика коробки передач
  • Назад Смачиваемость и несмачиваемость

Новые страницы

Андрей верба

Авансовый счет фактура образец

Чипсы pringles купить

Договор купли продажи автомобиля между физическими лицами 2023 образец

Фитнес семеновская

Гдз по русскому 4 класса 1 часть учебник соловейчик кузьменко

Инструменты рядом со мной на карте

Иви тв смотреть онлайн бесплатно

Как нарисовать уличный фонарь пошагово

Как отремонтировать ручку на металлической двери

Кто такие жирондисты и якобинцы

Lada rapan

Маршрут 20 троллейбуса чебоксары схема движения

Математика первый класс вторая часть рабочая тетрадь моро

Милые маленькие картинки чб

Не горит левый стоп сигнал

Остекление веранды и террасы

Падежи и предлоги к ним

Поздравления с днем рождения женщине александре красивые в картинках бесплатно

Разболтовка опель астра аш

Реостат 220 вольт

Резюме помощник руководителя образец грамотное

Рисунок спортсмена

Съемка квартиры

Сколько заниматься спортом после ботокса

Справка для санатория взрослому образец

Сушивок в москве доставка

Территория фитнеса ховрино расписание

Тротуарная плитка ольховка сысертский район

Во исполнение определения арбитражного суда образец

cdn.zecar.ru