Skip to content

Фотогалерея

  • Главная
  • Контакты

Алгебра 560

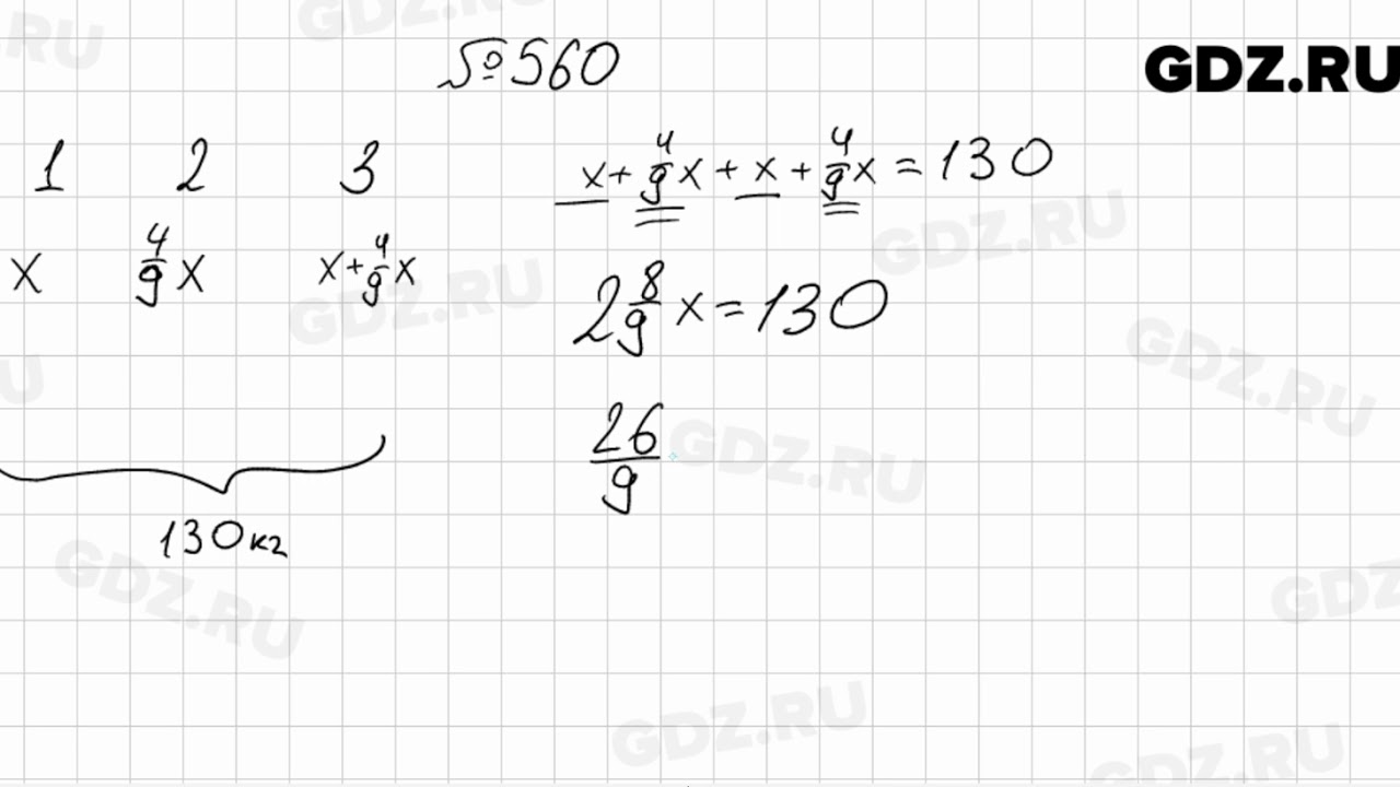
ГДЗ упражнение 560 алгебра 7 класс Дорофеев, Суворова

ГДЗ вправа 560 алгебра 8 класс Кравчук, Пидручна

(Решено)Упр.560 ГДЗ Колмогоров 10-11 класс по алгебре

ГДЗ задание 560 алгебра 8 класс Макарычев, Миндюк

ГДЗ упражнение 560 алгебра 7 класс Колягин, Ткачева

ГДЗ упражнение 560 алгебра 7 класс Колягин, Ткачева

Номер 560 - ГДЗ по алгебре за 8 класс Мерзляк, Полонский ответы из учебника

ГДЗ номер 560 алгебра 7 класс Мерзляк, Полонский

ГДЗ упражнение 560 алгебра 8 класс Колягин, Ткачева

Номер 560 - ГДЗ по алгебре 7 класс Дорофеев, Суворова с ответом и решением

Завдання 560 - ГДЗ Алгебра. 7 клас. Iстер О. С.

ГДЗ упражнение 560 алгебра 10-11 класс Алимов, Колягин

Номер 560 - ГДЗ по алгебре 7 класс Макарычев, Миндюк, Нешков

ГДЗ упражнение 560 алгебра 8 класс Макарычев, Миндюк

Номер 560 - ГДЗ по алгебре 8 класс Макарычев, Миндюк с ответом и решением

Номер 560 - ГДЗ по алгебре 8 класс Макарычев, Миндюк с ответом и решением

Номер 560 - ГДЗ по алгебре 9 класс Макарычев, Миндюк, Нешков

Номер 560 - ГДЗ по алгебре 9 класс Макарычев, Миндюк, Нешков

Номер №560 - ГДЗ по алгебре 9 класс Мерзляк, Полонский, Якир с ...

Номер 560 - ГДЗ по алгебре 7 класс Колягин, Ткачева, Федорова, Алимов

ГДЗ номер 560 алгебра 8 класс Никольский, Потапов

ГДЗ номер 560 алгебра 8 класс Никольский, Потапов

ГДЗ номер 560 алгебра 8 класс Никольский, Потапов

Номер 560 - ГДЗ по алгебре за 7 класс Мерзляк, Полонский, Якир

ГДЗ задание 560 алгебра 9 класс Макарычев, Миндюк

ГДЗ Номер 560 Алгебра 8 класс Дорофеев | Гарантия хорошей оценки

ГДЗ Номер 560 Алгебра 7 класс Бунимович | Гарантия хорошей оценки

ГДЗ Номер 560 Алгебра 7 класс Макарычев Углубленный | Учебник

ГДЗ Номер 560 Алгебра 9 класс Кузнецова Тематический список заданий ...

Репетитор по математике (алгебра, геометрия), ОГЭ – купить в Москве ...

МАТЕМАТИКА : алгебра + геометрия | Данная группа ТОЛЬКО для обучения ...

560 - Алгебра 8 класс Мерзляк - YouTube

560 - Алгебра 7 класс Колягин - YouTube

560 - Алгебра 7 класс Мерзляк - YouTube

560 - Алгебра 9 класс Мерзляк - YouTube

  • Вперед Книга увольняемых роты образец
  • Назад Детская и семейная психология

Новые страницы

Алгебра 560

Анкета на трудоустройство образец

Автомойки самообслуживания как пользоваться

Центр спортивной медицины талалихина

Датчик давления топлива признаки неисправности

Досудебная претензия образец о взыскании задолженности

Гдз 6 класс математика номер 1190

График противоаварийных тренировок

Греется реле бензонасоса ваз

Хомут 20 32

Как достать диск из магнитолы

Как подключить can шину к магнитоле

Как подключить подогрев зеркал

Как сделать арбалет своими руками в домашних условиях для охоты мощный чертежи и размеры

Какая мокрота при бронхите

Картины джованни пиранези

Немецкая гимназия петершуле

Пляж гантиади цандрипш

Подогрев сидений приора своими руками

Поздравление с днем свадьбы 12 лет картинки

Признаки сдвг у ребенка

Регулировка карбюратора на ваз нива

Реставрация газ

Санаторий им кирова железноводск

Спортлото результаты последнего тиража проверить билет

Теплоизоляция маты

Выходы из метро сходненская схема

Все парки барнаула

Запорный кран для радиатора отопления

Журнал замоноличивания монтажных стыков и узлов образец заполнения

cdn.zecar.ru