Skip to content

Фотогалерея

  • Главная
  • Контакты

Алгебра 261 7 класс

ГДЗ упражнение 261 алгебра 7 класс Колягин, Ткачева

Алгебра, 7 клас (тверда обкладенка) Мерзляк А.Г., Полонський В.Б., Якір ...

Номер задания №261 - ГДЗ по Алгебре 8 класс: Макарычев Ю.Н.

ГДЗ упражнение 261 алгебра 9 класс Макарычев, Миндюк

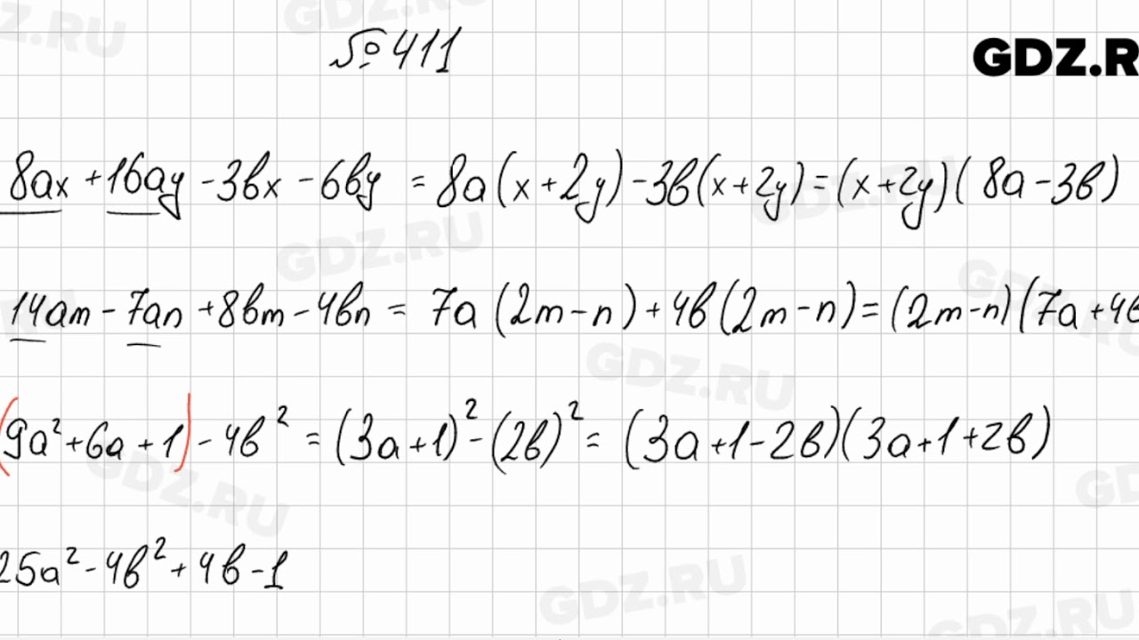
411 - Алгебра 7 класс Колягин - YouTube

ГДЗ упражнение 261 алгебра 9 класс Мерзляк, Полонский

ГДЗ задание 261 алгебра 9 класс Макарычев, Миндюк

ГДЗ упражнение 261 алгебра 9 класс Мерзляк, Полонский

ГДЗ упражнение 261 алгебра 7 класс Колягин, Ткачева

Алгебра. 7 класс. Базовый уровень, Н. Г. Миндюк – скачать pdf на ЛитРес

Формулы по алгебре 7 класс таблица фото - PwCalc.ru

Алгебра. 7 класс, (2008). Мерзляк А. Г. | Svarog

ГДЗ упражнение 261 алгебра 8 класс Дорофеев, Суворова

Алгебра 7 Класс Макарычев Фото Учебника – Telegraph

ГДЗ упражнение 261 алгебра 7 класс Колягин, Ткачева

261 - Алгебра 7 класс Мерзляк - YouTube

Дидактика 7 Класс Алгебра Мерзляк Контрольные Работы — Full-size.ru

Алгебра 7 макарычев контрольные работы с ответами

Алгебра 7 класс К-5 (угл.) с ответами . Контрольная работа

ГДЗ задание 261 алгебра 9 класс Колягин, Ткачева

Номер №261 - ГДЗ по алгебре 9 класс Мерзляк, Полонский, Якир с ...

ГДЗ номер 261 алгебра 7 класс Никольский, Потапов

ГДЗ по Алгебре 7 класс Макарычев, Миндюк, Суворова Учебник - решебник

ГДЗ Алгебра 7 класс Макарычев, Теляковский 2024 ФГОС, Решение, Номера, 155

Дидактика 7 Класс Алгебра Мерзляк Контрольные Работы — Full-size.ru

СР-07 Степень с натуральным показателем | Алгебра 7 класс

Номер 261 - ГДЗ по алгебре 9 класс Макарычев, Миндюк, Нешков

Алгебра. 8 класс - Мерзляк А.Г., Полонский В.Б., Якир М.С. » Читать или ...

Алгебра 7 класс К-7 (угл.) с ответами . Контрольная работа

ГДЗ упражнение 261 алгебра 7 класс Колягин, Ткачева

Номер задания №261 - ГДЗ по Алгебре 7 класс: Макарычев Ю.Н.

ГДЗ упражнение 261 алгебра 9 класс Макарычев, Миндюк

ГДЗ контрольная работа / КР-3 Вариант 3 алгебра 7 класс Математические ...

(Решено)Упр.261 ГДЗ Колягин Ткачёва 11 класс по алгебре

ГДЗ упражнение 261 алгебра 10-11 класс Алимов, Колягин

  • Вперед Схема сигнализации аллигатор
  • Назад Эссе традиции моей семьи

Новые страницы

Английский язык 3 класс рабочая тетрадь страница 26

Антикризисный план действий в чрезвычайных ситуациях в доу

Договор на оказание услуг спецтехники образец

Договор с несовершеннолетним на оказание услуг образец

Где поменять защитное стекло на телефоне

Героино песня

Гнездо без наседки какой падеж

Ходатайство об опросе свидетелей в суд по гражданскому делу образец

I2c to usb

Как доказать параллелограмм

Карта иордании на русском языке с городами подробная

Одежда kalenji

Приказ на 13 зарплату образец

Прокачка сцепления ваз 2105

Прошивка авто ру

Пятьдесят оттенков моря

Регулировка карбюратора ваз 21053

Решать задачи по математике 5 класс

Русский язык шестой класс упражнение 526

Схема пересадок метро спб

Схема улья

Шевроле инструкция

Сыр исчисляемое

Скорость канала b

Ссср шерстяные спортивный

Строительные машины названия с картинками

Вскоре солнце совсем скрылось за острым хребтом и тотчас оттуда

Яндекс такси доставка телефон

Юридический факультет мгимо

Замена лобового стекла московская славянка

cdn.zecar.ru