Skip to content

Фотогалерея

  • Главная
  • Контакты

Алгебра 1019

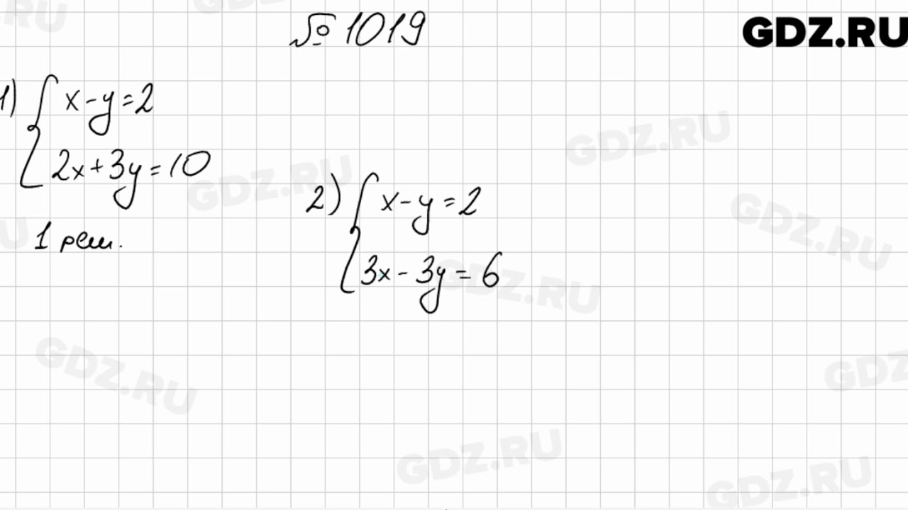
ГДЗ номер 1019 алгебра 9 класс Никольский, Потапов

ГДЗ номер 1019 алгебра 9 класс Никольский, Потапов

ГДЗ номер 1019 алгебра 9 класс Никольский, Потапов

ГДЗ упражнение 1019 алгебра 9 класс Мерзляк, Полонский

ГДЗ упражнение 1019 алгебра 9 класс Мерзляк, Полонский

ГДЗ упражнение 1019 алгебра 10-11 класс Алимов, Колягин

ГДЗ упражнение 1019 алгебра 10-11 класс Алимов, Колягин

ГДЗ упражнение 1019 алгебра 10 класс Колягин, Ткачева

ГДЗ номер 1019 алгебра 7 класс Мерзляк, Полонский

ГДЗ номер 1019 алгебра 7 класс Мерзляк, Полонский

ГДЗ номер 1019 алгебра 7 класс Мерзляк, Полонский

ГДЗ номер 1019 алгебра 7 класс Мерзляк, Полонский

Номер 1019 - ГДЗ по алгебре 9 класс Макарычев, Миндюк, Нешков

Номер 1019 - ГДЗ по алгебре за 7 класс Мерзляк, Полонский, Якир

Номер 1019 - ГДЗ по алгебре за 7 класс Мерзляк, Полонский, Якир

Номер 1019 - ГДЗ по алгебре 8 класс Макарычев, Миндюк с ответом и решением

Номер 1019 - ГДЗ по алгебре 8 класс Макарычев, Миндюк с ответом и решением

ГДЗ упражнение 1019 алгебра 7 класс Макарычев, Миндюк

ГДЗ упражнение 1019 алгебра 7 класс Макарычев, Миндюк

ГДЗ упражнение 1019 алгебра 8 класс Макарычев, Миндюк

Номер №1019 - ГДЗ по алгебре 9 класс Мерзляк, Полонский, Якир с ...

Номер 1019 - ГДЗ по алгебре 7 класс Макарычев, Миндюк, Нешков

ГДЗ задание 1019 алгебра 7 класс Макарычев, Миндюк

ГДЗ задание 1019 алгебра 7 класс Макарычев, Миндюк

1019

ГДЗ 11 класс алгебра Алимов Найдем площадь фигуры, ограниченной...Упр ...

CS 1019 YIKAMA MAKINELERI VE SPREY HATLARI ICIN YAG ALMA

1019 Angel Number Meaning: Intuition, Endings, Beginnings - Angelic Number

Вправа 1019 гдз 8 клас алгебра Істер 2021

1019

???????? ?????? Panasonic LRV-08 12V 1019-b - All-About-Keys.gr

1000 - Алгебра 9 класс Мерзляк - YouTube

1019 - Алгебра 7 класс Мерзляк - YouTube

Вся Алгебра в ОГЭ за 42 минуты - YouTube

Упражнение № 1019 – ГДЗ Алгебра 7 класс – Мерзляк А.Г., Полонский В.Б ...

  • Вперед Гдз литература 8 2 часть
  • Назад Замена лампочек в приборной панели ваз 21214

Новые страницы

Дизайн проект художественной школы

Фауна казахстана

Фитнес клуб фото

Гдз по геометрии 7 9 класс атанасян 1095

Гдз по математике 6 класс номер 1444

Гимарайнш португалия

График технического обслуживания и ремонта оборудования образец

Характеристика от депутата на человека образец в суд

Как подключить лампы в гараже

Карта города северска донецкой области

Кози бич отель паттайя

Lc51 dc dc преобразователь схема

Маркировка шин йокогама и расшифровка их обозначений

Митсубиси лансер уфа

На рисунке изображен графики зависимостей пути пройденного грузовым

Образец заполнения трудовой книжки в республике казахстан

Окно браузера картинка

Олимпийском спортивном центре

План застройки арбековской заставы

Реестр на оплату счетов образец в экселе

Схема хорд и рокад в москве на карте

Star z 20 5

Студентки спортсменки красавицы

Тренажерные залы спортивная

Все персонажи из стар против сил зла с именами и картинками

Замена сцепления на дастере

Замок франкенштейна в германии

Заявление на санаторно курортное лечение образец профсоюз

Значения дорожных знаков стоянка

Зоска игра картинка

cdn.zecar.ru