Skip to content

Фотогалерея

  • Главная
  • Контакты

Алгебра 1017 7 класс

ГДЗ вправа 1017 алгебра 7 класс Истер

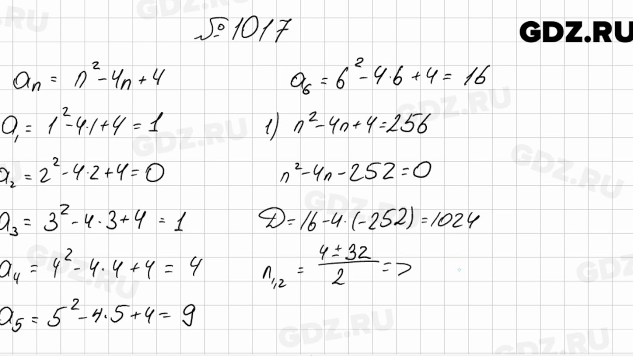
ГДЗ номер 1017 алгебра 7 класс Мерзляк, Полонский

ГДЗ номер 1017 алгебра 7 класс Мерзляк, Полонский

ГДЗ номер 1017 алгебра 7 класс Мерзляк, Полонский

ГДЗ номер 1017 алгебра 7 класс Мерзляк, Полонский

Номер 1017 - ГДЗ по алгебре за 7 класс Мерзляк, Полонский, Якир

Номер 1017 - ГДЗ по алгебре за 7 класс Мерзляк, Полонский, Якир

ГДЗ упражнение 1017 алгебра 7 класс Макарычев, Миндюк

ГДЗ упражнение 1017 алгебра 7 класс Макарычев, Миндюк

Номер 1017 - ГДЗ по алгебре 7 класс Макарычев, Миндюк, Нешков

Номер 1017 - ГДЗ по алгебре 7 класс Макарычев, Миндюк, Нешков

ГДЗ задание 1017 алгебра 7 класс Макарычев, Миндюк

АЛГЕБРА 7 КЛАСС К-6 (УГЛ.) С ОТВЕТАМИ | задания по математике - задача ...

ГДЗ задание 1017 алгебра 7 класс Макарычев, Миндюк

ГДЗ упражнение 1017 алгебра 9 класс Мерзляк, Полонский

ГДЗ упражнение 1017 алгебра 9 класс Мерзляк, Полонский

ГДЗ упражнение 1017 алгебра 9 класс Мерзляк, Полонский

ГДЗ упражнение 1017 алгебра 9 класс Мерзляк, Полонский

ГДЗ упражнение 1017 алгебра 10-11 класс Алимов, Колягин

ГДЗ упражнение 1017 алгебра 10-11 класс Алимов, Колягин

ГДЗ задание 1017 алгебра 8 класс Макарычев, Миндюк

ГДЗ упражнение 1017 алгебра 10 класс Колягин, Ткачева

ГДЗ упражнение 1017 алгебра 10-11 класс Алимов, Колягин

Номер 1017 - ГДЗ по алгебре 8 класс Макарычев, Миндюк с ответом и решением

Номер №1017 - ГДЗ по алгебре 9 класс Макарычев, Миндюк, Нешков

1017 - Алгебра 9 класс Мерзляк - YouTube

1010 - Алгебра 7 класс Мерзляк - YouTube

Номер №7.7 ГДЗ по алгебре за 10-11 класс Мордкович, Александрова с ...

Дидактические материалы, Алгебра, 7кл. , Звавич, Кузнецова, Суворова ...

Гдз Математика 7 Класс : Алгебра 7 класс Мерзляк Учебник (мягкая обл ...

Скачать Учебник. Алгебра. 7 класс. КШ - | Bizdin.kg

Алгебра 7 класс в таблицах и схемах

Формулы по алгебре 7 класс таблица фото - PwCalc.ru

ГДЗ по Алгебре 7 класс учебное пособие Мерзляк

  • Вперед How long does it take you to do your homework перевод
  • Назад Алгебра 7 класс макарычев номер 795

Новые страницы

Айфон ce

Авторазбор дэу в самаре

Что такое кнопка валет

Договор аренды строительных лесов образец скачать

Эл схема камаз

Флегмона кисти

Гдз по богдановой 8 класс 2 часть

Гдз по русскому языку упр 607

Хендай солярис прошивка двигателя

Как выглядит электрическая схема

Картинка спортивного мальчика

Машинное отделение башенный кран экскурсионное бюро соломенная шляпка шерстяной свитер

Математика 5 класс 1178

Металлический отвод 90 градусов под сварку

Мп 405 схема

Образец план работы

Read definitions of natural disasters and name them a period of time with no rain

Рекламные стеллы

Санаторий эльбрус в кисловодске на

Santa fe classic расход топлива

Схема маршрута 55

Схема земля вокруг солнца

Скрипят задние амортизаторы

Тахометр камаз схема подключения

Течет бачок тормозной жидкости

Триколор тв настройка

Узбагойтесь картинки прикольные

Входные двери жулебино

Возражение на исковое заявление образец рб

Взаимовыручка сочинение рассуждение

cdn.zecar.ru