Skip to content

Фотогалерея

  • Главная
  • Контакты

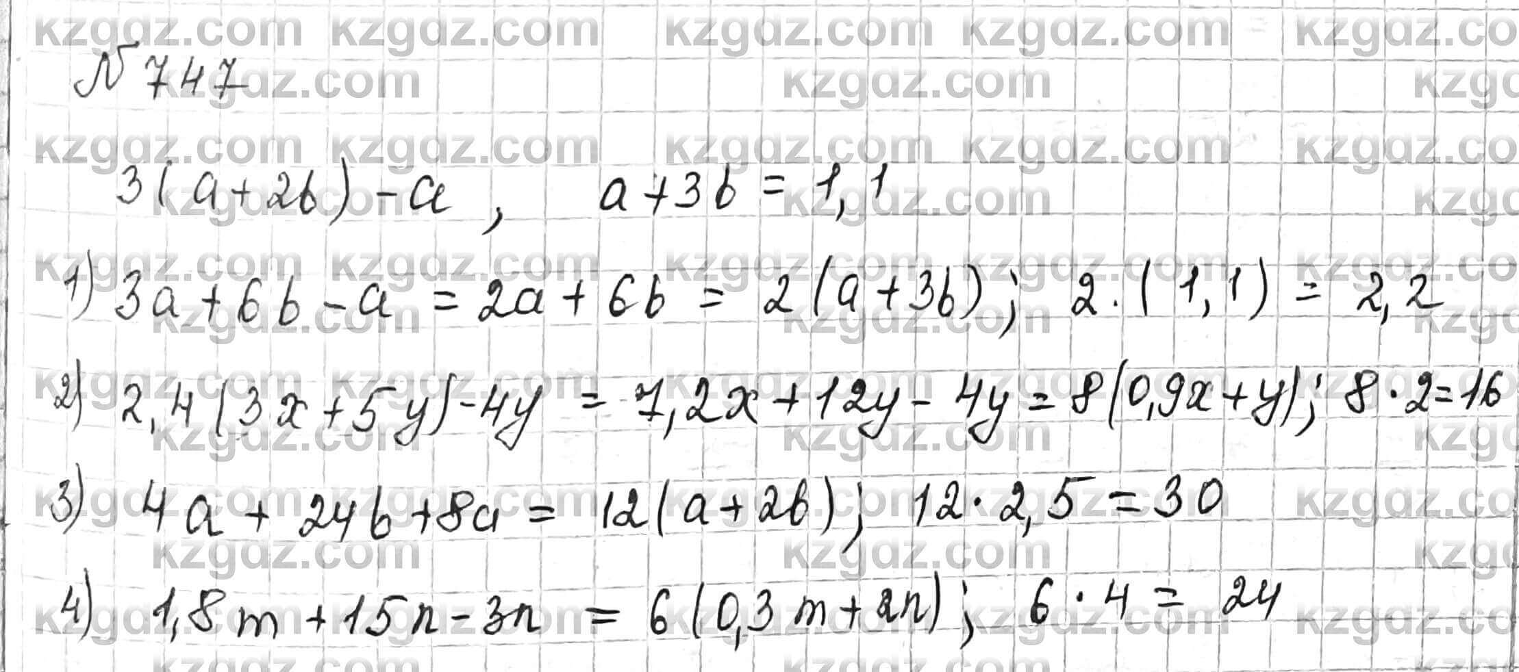
Алдамуратова математика 6 класс

Математика Алдамуратова 6 класс 2018 Упражнение 1069 ГДЗ(д?ж) решебник ...

Номер 100 - ГДЗ по математике 6 класс Алдамуратова, Байшоланова Казахстан

Алдамуратова математика 6 класс решебник | Лучшие домашние задания РУнета

Математика 6 класс. В 2 частях - Алдамуратова Т.А. и др. » Класс ...

Математика Алдамуратова Т. 6 класс 2018 1.4. Пропорция. Основное ...

Номер 25 - ГДЗ по математике 6 класс Алдамуратова, Байшоланова Казахстан

Математика Алдамуратова Т. 6 класс 2018 3.1. Алгебраические выражения ...

Математика Алдамуратова 6 класс 2018 Повторение 30 ГДЗ(д?ж) решебник ...

Математика Алдамуратова Т. 6 класс 2018 Повторение пройденного в 5 ...

Математика Алдамуратова Т. 6 класс 2018 1.1. Отношение двух чисел ...

Математика Алдамуратова Т. 6 класс 2018 Упражнения для повторения к ...

Математика Алдамуратова Т. 6 класс 2018 5.2. Свойства числовых ...

Математика Алдамуратова Т. 6 класс 2018 Упражнения для повторения к ...

Номер 15 - ГДЗ по математике 6 класс Алдамуратова, Байшоланова Казахстан

Математика Алдамуратова Т. 6 класс 2018 3.5. Многоэтажные дроби ...

Номер 72 - ГДЗ по математике 6 класс Алдамуратова, Байшоланова Казахстан

Математика Алдамуратова 6 класс 2018 Упражнение 731 ГДЗ(д?ж) решебник ...

Математика Алдамуратова Т. 6 класс 2018 3.5. Многоэтажные дроби ...

Математика Алдамуратова Т. 6 класс 2018 Упражнения для повторения к ...

дайын ?й ж?мыстары Математика Алдамуратова 6 класс 2018 Упражнение 27 2020

Алдамуратова математика 6 класс решебник | Лучшие домашние задания РУнета

Математика Алдамуратова 6 класс 2018 Повторение 23 ГДЗ(д?ж) решебник ...

Математика Алдамуратова Т. Учебник 5 класса, первая часть!: 2 500 тг ...

Алдамуратова математика 6 класс решебник | Лучшие домашние задания РУнета

Математика Алдамуратова 6 класс 2018 Повторение 7 ГДЗ(д?ж) решебник ...

«Математика. 6 класс. 2 часть», Л. А. Александрова – скачать pdf на Литрес

Математика. 5 класс: Рабочая тетрадь в 2-х частях: Часть 1 (новый ФП ...

Математика Алдамуратова 6 класс 2018 Упражнение 735

Учебник. Математика, 6 класс. Мерзляк А.Г., Полонский В.Б., и др ...

Математика 6 класс Итоговая Дорофеев | Все Контрольные

Алдамуратова математика 6 класс решебник | Лучшие домашние задания РУнета

Номер 15 - ГДЗ по математике 6 класс Алдамуратова, Байшоланова Казахстан

Номер 120 - ГДЗ по математике 6 класс Алдамуратова, Байшоланова Казахстан

дайын ?й ж?мыстары Математика Алдамуратова 6 класс 2018 Упражнение 66 2020

Математика Алдамуратова 6 класс 2018 Упражнение 145 ГДЗ(д?ж) решебник ...

  • Вперед Ресторан чехов санкт петербург
  • Назад В чем измеряется трение в физике

Новые страницы

003L0280 danfoss

Алдамуратова математика 6 класс

Avr 500d схема

Дикие пляжи греции

Эскиз гриба тату

Где отметить др в москве недорого

Гдз 7 класс география контурная карта география земля и люди

Гдз по алгебре 8 класс дорофеев номер 859

Хижина на берегу

Хромирование в барнауле

Как разобрать газовый редуктор

Каким номером на схеме обозначен мейоз 1

Картинки таня с днем рождения прикольные смешные

Kores

План парка галицкого в краснодаре туалет

Подбор аккумулятора по генератору

Полип желчного пузыря симптомы лечение

Политик картинки для презентации

Пояснительная записка образец к проекту 10 класс

Разболтовка w202

Рисунки для начинающих взрослых карандашом

Схема кровати чердака

Схема ларионова на тиристорах

Схема зала дк химик омск

Схемы международных аэропортов

Шнур mini usb

Соглашение об определении долей в жилом доме образец

Вечернее платье напрокат в спб недорого

Замена втулок балансира камаз

Заявление на отгул за свой счет на один день образец по семейным обстоятельствам

cdn.zecar.ru