Skip to content

Фотогалерея

  • Главная
  • Контакты

Al 3o2 2al2o3

Дана схема превращений al al2o3 alcl3 oh 3 фото - PwCalc.ru

Презентация по Химии "Al – металл" - скачать смотреть бесплатно

Al + O2 > Al2O3 - Al ra Al2O3 - VnDoc.com

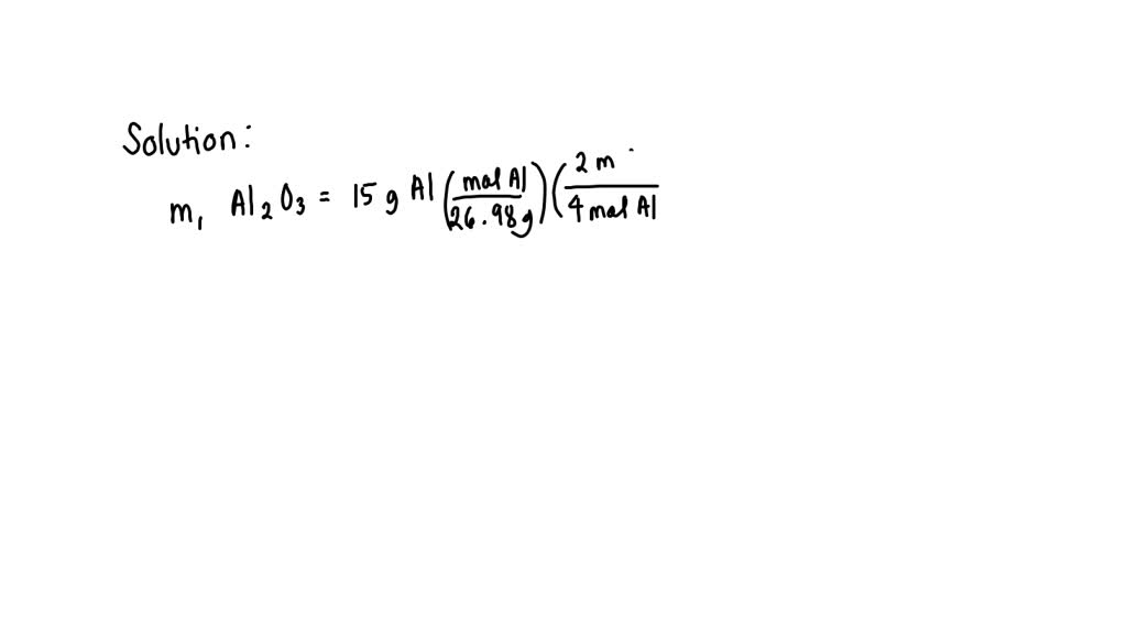
SOLVED: How many grams of Al2O3 can be produced from 15g of Al? 4Al ...

SOLVED: Texts: How many grams of Al2O3 can form from 39.5g of Al? 4Al(s ...

Solved 4 AL + 302 -> 2 Al2O3 4 AT + 3 0 2 - 2 A1203 If 9.00 | Chegg.com

SOLVED: How many grams of Al2O3 can form from 36.6 g of Al ? 4Al(s)+3O2 ...

SOLVED: Select True or False: Al is the oxidizing agent in the ...

Solved 4Al(s) + 3O2(g) > 2Al2O3(s) If 82.49 g of aluminum | Chegg.com

SOLVED: consider the reaction 4al + 3o2-> 2al2o3 calculate the mass in ...

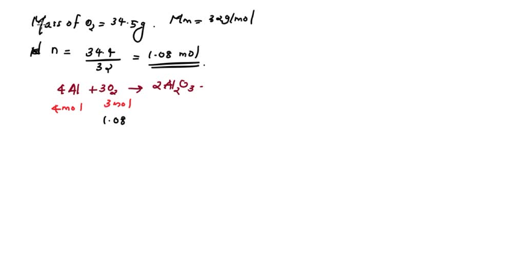
How many atoms of Al are needed to react with 34.5 grams of O2 gas? 4Al ...

Solved Incorrect Question 8 0/1 pts 4 Al + 30, - 2 Al2O3 If | Chegg.com

Solved Incorrect Question 8 0/1 pts 4 Al + 30, - 2 Al2O3 If | Chegg.com

SOLVED: Given 4Al + 3O2 –> 2Al2O3, find the limiting reactant if 1 mole ...

Solved Study this chemical reaction: 4 Al + 3O_2 rightarrow | Chegg.com

SOLVED: Given the following reaction 2Al2O3 to 4Al + 3O2, if you begins ...

What is the equivalent mass of Al2O3 in the following reaction? 4Al+3O2 ...

SOLVED: How many moles of Al2O3 are produced from 0.32 mol Al and 0.26 ...

SOLVED: 10.8 g of aluminium reacts with excess oxygen to form aluminium ...

A chemist burns 160.0 g of Al in excess air to produce aluminum oxide ...

Cho ph?n ?ng 4Al + 3O2 -> 2Al2O3. Bi?t co 2,4.1022 nguyen t? Al ph?n ?ng

SOLVED: Solid aluminum and gaseous oxygen react in a synthesis reaction ...

SOLVED:An electrolytic cell produces Al and O2 from Al2O3 at a rate of ...

SOLVED: Consider the following reaction: 4AL 302 2Al203 What is the ...

SOLVED: 9.0 mol Al reacts with 6.0 mol O2 to form Al2O3, according to ...

SOLVED: What mass of Al2O3 is produced when 19.3 L of O2 gas react with ...

Solved 4Al(s)+3O2( g)>2Al2O3( s) When 25.32 g of Al and | Chegg.com

SOLVED: The oxidation of aluminium is a pretty common reaction and ...

Solved 4Al(S)+3O2( g)>2Al2O3( s) When 26.94 g of Al and | Chegg.com

SOLVED: you have 2.0 moles of Al and 2.0 moles of O2 and react them ...

Solved 4Al(S)+3O2( g)>2Al2O3( s) When 36.67 g of Al and | Chegg.com

Solved 4Al(s)+3O2( g)>2Al2O3( s) Given 23.0 g of Al, how | Chegg.com

SOLVED: Consider the reaction: 4Al(s) + 3O2(g) -> 2Al2O3(g). What is ...

SOLVED: Aluminum and oxygen react according to the following equation ...

  • Вперед Реестр платежей на оплату образец
  • Назад Как изменилось положение земских соборов при алексее михайловиче с чем это было связано 7 класс

Новые страницы

218 Маршрут уфа схема проезда

Антифриз не уходит из расширительного бачка

Гдз по алгебре 7 класс 1048 номер

Как красиво нарисовать поэтапно

Как поменять тормозные колодки на ваз 2115

Карта бахмутского района донецкой области с городами и поселками подробная

Карта шуберта 3 верстовка беларусь

Карта старого оскола со спутника в реальном времени высокого разрешения

Картинки мелоди для срисовки

Коктейль хаменгуэль рецепт

Красивые места в костроме

Магазин лейпциг москва

Милосердие сочинение рассуждение с аргументами

Напряжение на датчике кислорода ваз 2114

Navigator txt truck

Не заводится рено дастер стартер крутит

Ниссан альмера классик предохранитель омывателя стекла

Образец письма президенту с просьбой о помощи

Образец презентации ранхигс

Приказ о ведении табеля учета рабочего времени образец 2023

Протоколы по видам спорта

Прототип 2 карта всех объектов

Руководитель фитнес клуба

Рулевое ваз 2107 устройство

Силуэты спортсменов

Смысловая схема предложения

Сравнение гранд санта фе и пасфайндера

Танцпол в ресторане

Тугая педаль сцепления гидравлика

Туго крутится руль с гидроусилителем на лачетти

cdn.zecar.ru