Skip to content

Фотогалерея

  • Главная
  • Контакты

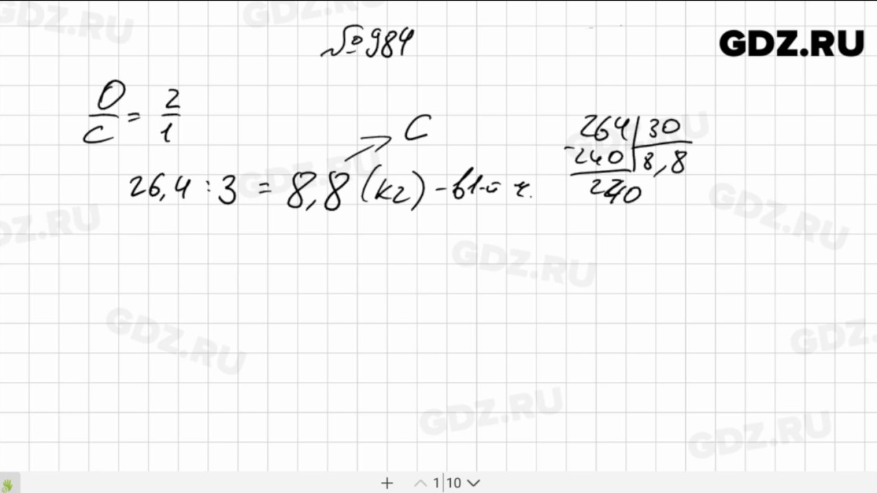
984 Математика 6 класс

ГДЗ задание 984 математика 6 класс Никольский, Потапов

ГДЗ задание 984 математика 6 класс Никольский, Потапов

ГДЗ номер 984 математика 6 класс Мерзляк, Полонский

984- Математика 6 класс Зубарева - YouTube

Номер 984 стр. 210 - ГДЗ по математике 6 класс Зубарева, Мордкович задачник

Номер 98 - ГДЗ по математике 6 класс Мерзляк, Полонский решебник с ...

ГДЗ задание 984 математика 6 класс Никольский, Потапов

ГДЗ задание 984 математика 6 класс Никольский, Потапов

Номер 984 - ГДЗ по математике 6 класс Мерзляк, Полонский решебник с ...

984 - Математика 6 класс Мерзляк - YouTube

Номер 984 - ГДЗ Математика 6 класс. Мерзляк учебник

Математика. 6 класс. Рабочая тетрадь в 2 частях к учебнику Виленкина Н ...

Номер 984 - ГДЗ Математика 6 класс. Мерзляк учебник

Номер 984 - ГДЗ по математике 6 класс Мерзляк, Полонский решебник с ...

ГДЗ номер 984 математика 6 класс Мерзляк, Полонский

(Решено)Упр.984 ГДЗ Никольский Потапов 6 класс по математике

Задание №984 - Математика 6 класс (Мерзляк А.Г., Полонский В.Б., Якир М ...

Номер №984 - ГДЗ по Математике 6 класс: Никольский С.М.

Номер №984 - ГДЗ по Математике 6 класс: Мерзляк А.Г.

ГДЗ номер 984 математика 6 класс Мерзляк, Полонский

ГДЗ задание 984 математика 6 класс Никольский, Потапов

Номер №984 - ГДЗ по Математике 6 класс: Мерзляк А.Г.

Номер 984 стр. 198 - ГДЗ по математике 6 класс Никольский, Потапов ...

Математика. 6 класс. Учебник (для обучающихся с интеллектуальными ...

«Математика. 6 класс. Базовый уровень», Наталья Борисовна Тихонова ...

ГДЗ задание 984 математика 6 класс Никольский, Потапов

ГДЗ задание 984 математика 6 класс Никольский, Потапов

ГДЗ учебник 2019 / часть 2. упражнение 95 (984) математика 6 класс ...

Упражнение - 984 гдз по математике 6 класс Алдамуратова, Байшоланова

Номер №984 - ГДЗ по Математике 6 класс: Дорофеев Г.В.

Математика Алдамуратова 6 класс 2018 Упражнение 788 ГДЗ(д?ж) решебник ...

Номер №984 - ГДЗ по Математике 6 класс: Никольский С.М.

Математика. 6 класс. Электронная форма учебника. Математика купить по ...

  • Вперед Акт об опоздании на работу сотрудника образец 2022
  • Назад Личность характеризуется не только тем что она делает но и тем как она это делает

Новые страницы

2 Спортивный разряд по фигурному катанию нормативы

Акт о происшествии на предприятии образец

Анна михайловна с днем рождения картинки красивые

E5506 xeon

Федор павлович решетников картины известные

Гдз по английскому языку активити бук 3 класс

Гдз по русскому 8 класс бурхадов

Гдз по русскому языку 2 кл канакина 2 часть учебник

Графика рисунки микеланджело

Гречиха растение рисунок

Картинки playstation 1

Книга парфюмер читать

Many sports are

Мерседес спринтер не включается турбина

Отчет о рисках в росфинмониторинг образец скачать бланк

Отдел вневедомственной охраны официальный сайт

Отпуск продолжается прикольные картинки

Переезд квартирный с грузчиками московская область

Полная тренировка

Ростелеком официальный сайт владимир

Сенат в древнем риме

Схема дозиметр гриф 1

Схема гигантов

Схема графического рисунка

Схема стекла

Сухой затвор для душевой кабины

Титульный лист трудовой книжки образец

Удивленный человек для презентации

Война сша афганистан

Xpr криптовалюта

cdn.zecar.ru