Skip to content

Фотогалерея

  • Главная
  • Контакты

767 Алгебра 7

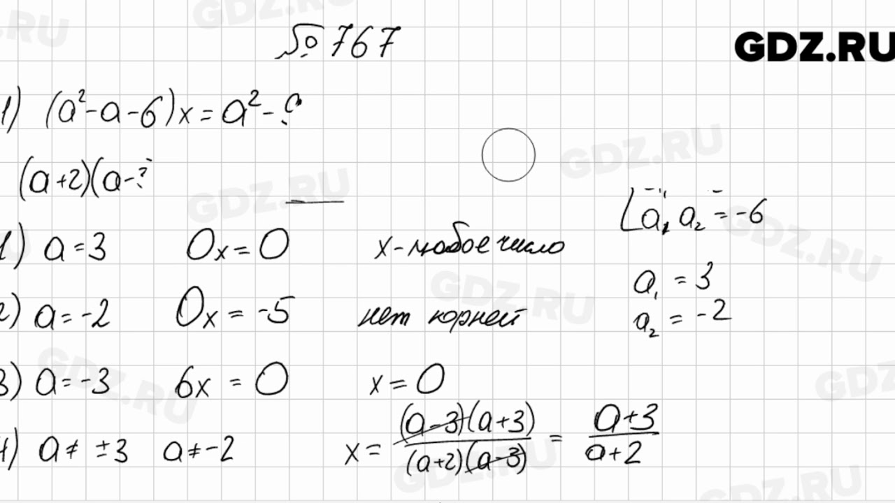
ГДЗ упражнение 767 алгебра 7 класс Дорофеев, Суворова

ГДЗ упражнение 767 алгебра 7 класс Дорофеев, Суворова

ГДЗ упражнение 767 алгебра 7 класс Дорофеев, Суворова

ГДЗ упражнение 767 алгебра 7 класс Дорофеев, Суворова

ГДЗ номер 767 алгебра 7 класс Мерзляк, Полонский

ГДЗ номер 767 алгебра 7 класс Мерзляк, Полонский

ГДЗ номер 767 алгебра 9 класс Никольский, Потапов

ГДЗ номер 767 алгебра 9 класс Никольский, Потапов

Номер 767 - ГДЗ по алгебре за 7 класс Мерзляк, Полонский, Якир

ГДЗ Номер 767 Алгебра 7 класс Дорофеев | Учебник

ГДЗ по Алгебре 7 класс учебник Колягина задание 767 ответы

ГДЗ Номер 767 Алгебра 7 класс Никольский | Учебник

Номер 767 - ГДЗ по алгебре 8 класс Макарычев, Миндюк с ответом и решением

ГДЗ Номер 767 Алгебра 8 класс Дорофеев | Гарантия хорошей оценки

ГДЗ Номер 767 Алгебра 8 класс Никольский | Гарантия хорошей оценки

767 - Алгебра 8 класс Мерзляк - YouTube

Задание №2 по теме "Решение задач через уравнение" Алгебра 7 класс ...

Алгебра. 7 класс. Учебник • Алимов Ш., купить по низкой цене, читать ...

(Решено)Упр.560 ГДЗ Муравин 7 класс по алгебре

Формулы по алгебре 7 класс таблица фото - PwCalc.ru

Номер 649 - ГДЗ по алгебре 7 класс Никольский, Потапов с ответом и решением

Номер 658 - ГДЗ по алгебре 7 класс Дорофеев, Суворова с ответом и решением

Номер 677 - ГДЗ по алгебре 7 класс Макарычев, Миндюк, Нешков

Номер 677 - ГДЗ по алгебре 7 класс Макарычев, Миндюк, Нешков

Номер 586 - ГДЗ по алгебре 7 класс Колягин, Ткачева, Федорова, Алимов

Задачи по математике 7 класс

Номер 127 - ГДЗ по алгебре 7 класс Колягин, Ткачева, Федорова, Алимов

Алгебра. 7 клас – скачать бесплатно на aversev.by

Номер 456 - ГДЗ по алгебре 7 класс Колягин, Ткачева, Федорова, Алимов

Номер 644 - ГДЗ по алгебре 7 класс Колягин, Ткачева, Федорова, Алимов

Номер 776 - ГДЗ по алгебре за 7 класс Мерзляк, Полонский, Якир

Номер 176 - ГДЗ по алгебре 7 класс Колягин, Ткачева, Федорова, Алимов

ГДЗ контрольная работа / КР-5 Вариант 1 алгебра 7 класс Математические ...

Алгебра. 7 класс. Базовый уровень, Н. Г. Миндюк – скачать pdf на ЛитРес

  • Вперед Гдз по русскому третий класс канакина учебник
  • Назад Гугл карта кабардинка с улицами и номерами

Новые страницы

2400 7

767 Алгебра 7

Аденома гипофиза симптомы у женщин лечение

Афк спорт что это

Акт об отключении электроэнергии в снт за неуплату образец

Бухгалтер вакансии гомель

Чип резисторы

Фонбет официальный сайт вход без проблем

Гейдман 2 класс учебник гдз

И в шутку и в всерьез проект 2 класс по русскому языку

Красавицы черногории

Lcmx

Менеджер проектов код окз

Меню раскладка для школьной столовой образец заполнения

Мир дп

Мирон и поликлет

Муфта соединительная для труб полипропилен 50

Мумия это в древнем египте

Мусорные баки москвы

Музей имени рериха в москве

Образец заявления на отпуск до 1 5 лет

Освобождение румынии болгарии югославии

Расписка об отсутствии претензий на имущество после развода образец

С какого возраста начинать прикорм

Sport place 4

Структурная схема документа

Тренировка для детей 10 лет

Замена акб на шуруповерте

Журнал технического обслуживания огнетушителей образец заполнения

Зуммер 220 вольт

cdn.zecar.ru