Skip to content

Фотогалерея

  • Главная
  • Контакты

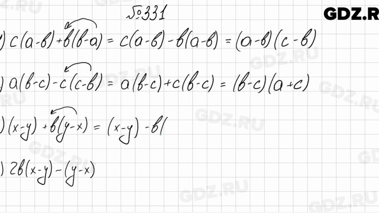
331 Алгебра 7 класс

ГДЗ упражнение 331 алгебра 7 класс Макарычев, Миндюк

Номер 331 - ГДЗ по алгебре 7 класс Макарычев, Миндюк, Нешков

ГДЗ упражнение 331 алгебра 7 класс Колягин, Ткачева

331 - Алгебра 7 класс Мерзляк - YouTube

ГДЗ номер 331 алгебра 7 класс Мерзляк, Полонский

ГДЗ задание 331 алгебра 7 класс Макарычев, Миндюк

ГДЗ упражнение 331 алгебра 7 класс Макарычев, Миндюк

ГДЗ вправа 331 алгебра 7 класс Истер

ГДЗ упражнение 331 алгебра 7 класс Дорофеев, Суворова

Номер №331 - ГДЗ по Алгебре 7 класс: Мерзляк А.Г.

ГДЗ упражнение 331 алгебра 7 класс Колягин, Ткачева

Номер 331 - ГДЗ по алгебре за 7 класс Мерзляк, Полонский, Якир

ГДЗ Алгебра 7 класс Макарычев, Миндюк, Нешков, Теляковский 2023 ФГОС ...

Номер 331 - ГДЗ по алгебре за 7 класс Мерзляк, Полонский, Якир

331- Алгебра 7 класс Макарычев - YouTube

«Алгебра. 7 класс», М. И. Шабунин – скачать pdf на Литрес

Алгебра. 7 класс. Базовый уровень, Н. Г. Миндюк – скачать pdf на ЛитРес

Алгебра 7 Класс Картинки Учебника – Telegraph

ГДЗ Алгебра 7 класс Дорофеев Суворова Учебник

331 - Алгебра 7 класс Колягин - YouTube

Номер 331 - ГДЗ по алгебре 7 класс Макарычев, Миндюк, Нешков

ГДЗ Дидактические материалы по алгебре 7 класс. Вариант 3

Алгебра. 7 класс. Рабочая тетрадь. Часть 1 - купить с доставкой по ...

ГДЗ упражнение 331 алгебра 9 класс Макарычев, Миндюк

Алгебра 7 Дорофеев КР-10 . Контрольная работа + ответы

Алгебра. 7 класс, (2008). Мерзляк А. Г. | Svarog

ГДЗ номер 331 алгебра 8 класс Никольский, Потапов

ГДЗ упражнение 331 алгебра 9 класс Макарычев, Миндюк

Номер 331 - ГДЗ по алгебре 9 класс Макарычев, Миндюк, Нешков

Параграфы 7 § - 24 гдз по алгебре 10 класс Мордкович, Семенов Учебник ...

ГДЗ упражнение 331 алгебра 9 класс Мерзляк, Полонский

(Решено)Упр.28.331 ГДЗ Мерзляк 11 класс по алгебре Углубленный уровень

Номер 331 - ГДЗ по алгебре за 7 класс Мерзляк, Полонский, Якир

ГДЗ номер 331 алгебра 7 класс Никольский, Потапов

ГДЗ номер 331 алгебра 7 класс Никольский, Потапов

  • Вперед Плата видеозахвата для компьютера
  • Назад Егорушка диктант

Новые страницы

9 Арочный мост

А с пушкин краткая биография для детей 2 класса презентация

Алюминий или медь радиатор охлаждения

Чье производство шкода

Домашняя работа по математике 3 класс 2 часть страница 48

Фактурная штукатурка в леруа мерлен

Фарфор франция

Гдз по алгебре 7 класс номер 731

Гдз по математике 5 класс мерзляк номер 778

Карта кызыл яр татарстан

Киа спортаж отзывы

Ковров учебка в ч

Кровля проф гарант

Море в северодвинске

Образец заполнения анкеты на визу в италию

Оскорбления на английском

Перечень сведений о подписчике для юридических лиц образец

Презентация повторение изученных орфограмм 3 класс

Приказ черемухе цвести

Расчет сопротивления динамиков

Разболтовка на ниве 21214

Ремонт телефонов усолье сибирское

Спорт кэжуал выставка

Своя игра математика 8 класс презентация

Toyota супра

Тренировка гта 5 рп

Виды спорта в перчатках

Запрос сведений об открытых счетах в ифнс образец

Зарина после проекта пацанки

Заявление за свой счет образец на один день по семейным обстоятельствам

cdn.zecar.ru