Skip to content

Фотогалерея

  • Главная
  • Контакты

30 Ом

знайти загальний опір якщо r1=20 ом r2=20 ом r3=10 ом r4= 30 ом ...

1. До гальванічного елемента з ЕРС 5 В і внутрішнім опором 1 Ом під ...

В електричній схемі опори резисторів r1=30 ом r2=90 ом r3=r6=100 ом r4 ...

Дано r1=5 ом r2=10 ом r3=30 ом найдите i oбщ и r общ — Знания.site

ТВО-20 30 Ом 10% резистор >> купить недорого

ПЭВ-20 30 Ом 10% резистор >> купить недорого

Три резистори опорами R1=15 Ом, R2, R3 з’єднані послідовно. Відомо, що ...

ПЭВР-20 30 Ом 5% резистор >> купить недорого

С5-36В 25Вт 30 Ом 10% резистор >> купить недорого

Определить ток терморезистора с заданной ВАХ. Дано Е = 20 В, R1 =12 Ом ...

⭐ Резистор ТВО-20 30 Ом 10%. Низкие цены. На складе в наличии.

Мясник на 30 -ом кошмаре - YouTube

ПЭВ-7.5 30 Ом 10% резистор >> купить недорого

Физика . . . . .очень срочно помогите, картинки с заданиеm во вложениях ...

Физика Три проводника соединены так, как показано на рисунке ...

Визначте еквівалентний опір ділянки кола R1=15 Ом, R2=30 Ом, R3=40 Ом ...

Символ ОМ 30/30 в интернет-магазине Ярмарка Мастеров по цене 5000 ...

Физика Резисторы сопротивлением 12, 20 и 30 Ом соединены параллельно и ...

Өткізгіштерді тізбектей және параллель жалғау - презентация онлайн

Вычислите общее сопротивление электрической цепи состоящей из 3 ...

Символ ОМ 30/30 в интернет-магазине Ярмарка Мастеров по цене 5000 ...

76. Яку силу струму показує міліамперметр (рис. 2.20), якщо ε1 =1 В, ε2 ...

Знайдіть значення сили струму, яку показує амперметр (дивись рисунок ...

ТВО-2 30 Ом 10% резистор >> купить недорого

Резистор 30 Ом 30R CF 1Вт | | 1.00 грн. | Купити Харків Україна

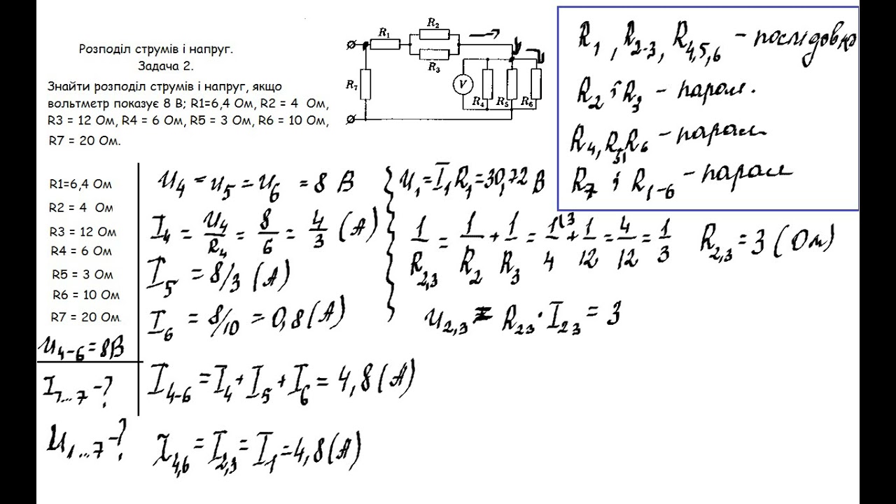
Фізика. 8 клас. Розподіл струмів і напруг. ( задача2) - YouTube

Фото №30 Ом Пури

Stratigraphic succession of Babadudan Group (after Ramakrishnan and ...

Два резистора соединены последовательно сопротивление первого 12 ом ...

СП5-30-1-50Д (6,8 ом), ппб-25г (100ом), сп-5-30-1 (15ом,22 ом, 3,3кОм ...

4. Два последовательно соединенных источника тока с ε1 = 4,5 В и ε2 = 6 ...

Определить токи в ветвях цепи, если R1 = 2 ом, R1 = 1 ом, R2 = 8 ом, R2 ...

ПЭВ-30 20 Ом 10% резистор >> купить недорого

В схеме, изображенной на рисунке, ε1 = 1,5 в, ε2 = 1,6 в, r1 = 1 ком ...

Дано опори провідників R1=20 Ом, R2=40 Ом, R3=60 Ом та напруга на ...

  • Вперед Спортивный повседневный стиль
  • Назад Амигуруми человек паук схема человек паук крючком

Новые страницы

Аккумулятор автомобильный устройство

Датчик распределения фаз нива шевроле

Ddx fitness приложение

Договор безвозмездной передачи имущества от учредителя юрлицу образец

Достопримечательности лихославля

Факельный выброс вентиляции чертеж

Генератор 372.3701 схема

Глагол отрицательное местоимение с предлогом

Годовщина свадьбы 6 лет картинки для мужа

Как отправить сало посылкой чтобы не испортилось

Mechanic ly uvh900

Мгсу ниу

Миро схема

На рисунках 1 5 изображены физические приборы какую физическую величину измеряет каждый из них

Наплавляемая кровля монтаж

Направление на прохождение медосмотра при приеме на работу образец

Некролог о смерти коллеги образец и слова соболезнования

Оклейка яндекс такси бесплатно в москве

Печать машины

Потливость у мужчин причины и лечение

Препараты для повышения женского либидо

При приеме антибиотиков можно ли заниматься спортом

Развал схождение своими руками на калине

Сеть техники тайшет каталог

Схема электрической цепи определение

Смеситель на ванной

Упражнение 130 по русскому языку 3 класс

Упражнение 528

Язва двенадцатиперстной кишки симптомы и лечение питание

Замена подшипника на стиральной машине вирпул

cdn.zecar.ru