Skip to content

Фотогалерея

  • Главная
  • Контакты

2Ax 3by 6ay bx

Solved: a^2x^2-3bx^2+a^2y^2-3by^2 [Math]

?????????? ????? ?????? ????? ?? ?? ?????? 6(ax + by) = 3a + 2b; 6(bx ...

Solved For 18ax+6ay-9bx-3by,(a) ?Factor out the GCF from the | Chegg.com

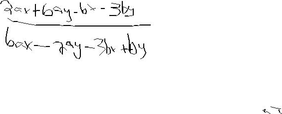
Solved 2ax + 6ay - 6x - 3by / 6ax - 2ay - 3bx + by | Chegg.com

Ответы Mail: Разложите на множители способом группировки.

ГДЗ Номер Вариант 2 Алгебра 7 класс Звавич Дидактические С-35 ...

Find the LCM & HCF from 3ax - bx - 3ay + by, ax^2 - 3bxy - axy + 3by^2 ...

651 FACTOR COMUN POR AGRUPACION DE TERMINO: 2ax-3bx+2ay-3by; 2am+2ap ...

Prove that the circles x^(2)+y^(2)+2ax+ay-3a^(2)=0andx^(2)+y^(2)-8ax ...

`(1)`if `a+b+c=0` the straight line `2ax+3by+4c=0` passes through the ...

?????????? ????? ?????? ????? ?? ???? - ???? ???? ?????? ?? ????? ...

2ax-6ay=15 3bx+9by=84 a.b=6 olduguna gore x?-9y? ifadesinin segeri ...

2ax-6ay=15 3bx+9by=84 a.b=6 olduguna gore x?-9y? ifadesinin segeri ...

Factorise:2ax+bx+2ay+by - Brainly.in

ax-by? -3 2ax+3by? -4 A ( 2,-2)noktas? kesistigine gore a-b kact?r ...

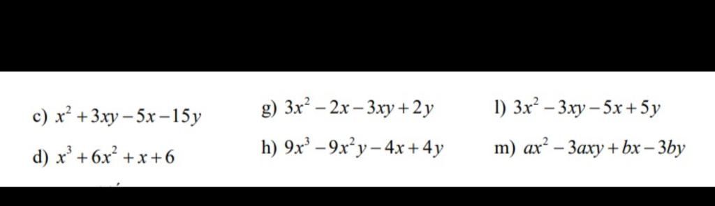
c) x? + 3xy-5x-15y d) x? +6x?+x+6 g) 3x?-2x-3xy + 2y h) 9x?-9x?y-4x+4y ...

8) x+3y = 7 b-a=2 olduguna gore ax + 3ay – bx - 3by ifadesinin esiti ...

Solve 2ax + 3by = a + 2b ; 3ax + 2by = 2a+b - Brainly.in

20.If 3ax + 2by = 5ab & 5ax - 3by = 2ab, then(A) x = b, y = a (B) x = a ...

2ax + 3by =a +2b,3ax +2by =2a +b (solve using cross multiply method ...

Find the value of a and b if the lines 2ax 3by=18 and 5ax 3by=15 pass ...

How to factorise 2ax-bx+3by-6ay completely - Brainly.in

solve by substitution: 2ax+3by=a+2b and 3ax+2by= 2a + b - Brainly.in

2ax + 3by =a +2b,3ax +2by =2a +b (solve using cross multiply method ...

6ax-2by+3cz, 6by-11ax-cz and 10cz-2ax-3by. - Brainly.in

6ax-2by+3cz, 6by-11ax-cz and 10cz-2ax-3by. - Brainly.in

2ax + 3by =a +2b,3ax +2by =2a +b (solve using elimination - Brainly.in

Solve for x and y.2ax + 3by = a + 2b ; 3ax + 2by = 2a+b - Brainly.in

  • Вперед Страны экспортеры основных видов сырья
  • Назад Программы домашних тренировок для набора массы

Новые страницы

2Ax 3by 6ay bx

Элементы схем трубопроводов

Гдз по математике 6 класс герасимов пирютко 1 часть

Гирлянда уличная

Гульнур с днем рождения картинки

Как разложить заднее сиденье в ниве 21214

Какое давление в шинах качать зимой

Картинки карабаса из игры мои поющие монстры

Лягушка ест комара рисунок

Математика 5 класс 2 часть номер 612 виленкин

Мигает лампочка аккумулятора

Мойка кухонная эмалированная

Образец записи о награждении в трудовой книжке образец

Печать наклеек домодедово

Постановка звуков для начинающих логопедов в какой последовательности с картинками

Проекты деятельность которых характеризуется выполнением всех нормативных положений называются

Расточка блока в мурманске

Рено логан западает педаль газа

Схема исторической сцены большого театра

Схема magnum

Схема проводки стеклоподъемников гранта

Схема установки циркуляционного насоса в систему отопления

Спортивная страховка

Спортивный костюм 50

Таблица нервной системы

Теплоэнергопроект

Ведомость объемов работ образец

Виды летних спортивных игр

Выписка из штатного расписания образец 2023

Все рязанские поля и березы возле оки калужские

cdn.zecar.ru