Skip to content

Фотогалерея

  • Главная
  • Контакты

2Atm

Mori Seiki AL 2ATM serial no 1750 - SOLD - YouTube

Bollé

Mibro Watch C2 - Hatly

for the reaction N2+3H2=2NH3. Equilibrium pressures are pN2=2.6atm, pH2 ...

Free Polaris Wiring Diagrams Pdf

Temperatures must be in Kelvin! - ppt download

Xiaomi Smart Kids Watch | Xiaomi Global

10 m³ of butane at 1 2atm was required to be stored at 6atm pressure To ...

Two mole of an ideal gas cv=5+2R wes compressed adiabatically against ...

Mibro A2 Watch | Ranga Shopping Center

Mibro Watch A2 Bluetooth Call Smart Watch Price In Bangladesh

Mibro Watch A2 Bluetooth Call Smart Watch Price In Bangladesh

one mole ideal gas was changed from (15L,2atm) to (4L,10atm). It this ...

Mibro Watch Lite2 Price in Pakistan 2024 | PriceOye

[Solved]: A piston-cylinder arrangement contains air at

Mibro T1 smartwatch | Best Price | Fast Delivery

A single bubble of initial radius R 0 = 4.5 µm at p ∞ = 1 atm is ...

Mibro T2 Calling Smart Watch (2ATM Waterproof) – Tech Emporium BD

Mibro C3 Calling Smart Watch 2ATM with Dual Straps Price In Bangladesh

Xiaomi Smart Kids Watch | Xiaomi Philippines

Mibro Watch C3 - Mobile Geeks

Mibro Watch A2 Sports Smart Watch 2ATM Waterproof - (12 Months Warranty ...

[Solved] Please answer everything stated in question. 1. Liquid ...

Mibro Watch T1 Smart Watch With BlueTooth Calling & Amoled Display ...

Tactical Machining Lower (Complete)

What is ATM: Meaning, Operations, full form & More | Easebuzz

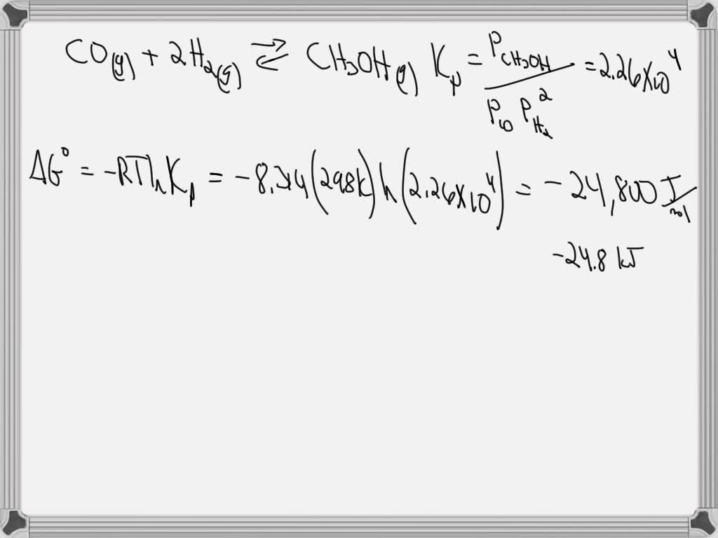
SOLVED: Consider the following reaction: CO(g)+2H2(g)⇌CH3OH(g) Kp=2.26× ...

SOLVED: Equimolar Counterdiffusion of a Binary Gas Mixture Helium and ...

SOLVED: Under the conditions shown below for the following reaction ...

5dm3 volume of a gas exerts a pressure of 2 atm. This gas is completely

Solved 6. What pressure is greater, 14,500Kpa or 7.2ATM? 7. | Chegg.com

Mibro T2 Calling Smart Watch in Bangladesh

A 15.0 -L tank is filled with H2 to a pressure of 2.00 ×10^2 atm . How ...

Two moles of an ideal gas at 2atm and 27^(@)C is compressed ...

Mibro Watch T1 Smart Watch Price in pakistan | XcessoriesHub

  • Вперед Атлант моргает н
  • Назад Лечение при ячмене на глазу

Новые страницы

2Atm

3 Класс математика страница 58 номер 2

Балканские горы карта

Благоустройство территорий спортивная

Договор на организацию питания сотрудников образец

Джип форд эксплорер

Фитнес дети программа

Характеристика магния по плану 8 класс химия габриелян

К 1 1п а

Как подключить яндекс такси для работы

Как правильно сделать коммерческое предложение образец

Карта первомайского района новосибирска с улицами и номерами домов

Картинка день открытых дверей в детском саду

Картинки брюнеток без лица на аву со средними волосами

Контрацепция экстренная

Контурная карта по истории 5 класс падение западной римской империи стр 8 ответы

Краеведческий музей что там есть

Латинская америка страны и столицы контурная карта

Лазертаг бор

Мочевина карбамид применение

Олеся жукова букварь картинки

Пожарный гидрант на схеме

Предохранитель бензонасоса опель астра h

Схема приводной ремень ремень опель

Сочинение про памятник

Транзистор lm317t характеристики

Высокий цоколь многоэтажного дома

Японские рисунки легкие карандашом для начинающих

Замена радиатора нива шевроле

Замена салонного фильтра на ниссан жук

cdn.zecar.ru