Skip to content

Фотогалерея

  • Главная
  • Контакты

1S2

1s2 2s2 2p6 3s1 ||What is 1s2 2s2 2p6 3s1 ?||What element has the ...

1s2 2s2 2p6 3s2 3p5 ||What is 1s2 2s2 2p6 3s2 3p5 ?||What element has ...

1s2 2s2 2p6 3s2 3p1 valence electrons ||How many valence electrons are ...

1s2 2s2 2p6 3s2 3p6 4s2.. - 9GAG

1s2 2s2 2p6 3s2 ||What is 1s2 2s2 2p6 3s2 ?||What element has the ...

1s2 2s2 2p6 ||Which element has the electron configuration of 1s2 2s2 ...

Which element has the electron configuration of 1s2 2s2 2p6 3s2 3p6 ...

Which element has the electron configuration of 1s2 2s2 2p6 3s2 3p6 ...

1s2 | Spotify

Wiswesser S Wikipedia - 1s2 2s2 2p6 3s2 3p6 4s2 3d10 4p6 5s2 4d10 5p6 ...

An atom has the following electron configuration 1s2 2s2 2p6 3s2 3p4 ...

Lesson 13: Electron Rules and Diagrams - ppt download

Lesson 13: Electron Rules and Diagrams - ppt download

Lesson 13: Electron Rules and Diagrams - ppt download

Consider the electron configuration 1s2 2s2 2p6 3s2 3p6 3d8 4s2? Which ...

Arrange the following in the increasing order of Ionization Enthalpy i ...

an element having electronic configuration 1s2 2s2 2p6 3s2 3p6 4s1 ...

PPT 3

The number of unpaired electrons in 1s2 2s2 2p4 - Brainly.in

why is electronic configuration of oxygen written as 1s2 2px2 2py1 2p21 ...

Helium symbol. Chemical element of the periodic table. Vector ...

What is the Atomic Number of the Element with 1s2, 2s2, 2p6, 3s2, 3p3 ...

SOLVED: 'The electronic configuration 1s2 2s2 2p6 3s1 3p1 describe. A ...

The electronic configuration of an element 1s2,2s22p6,3s23p63d5,4s1. This..

The electronic configuration for oxygen is written as 1s2 2s2 2p4 ...

SOLVED: Unsur galium memiliki nomor atom 31 dan nomor maasa 70 ...

Electron Configurations

[Solved] Question 7 Which ion would have an electron configuration of ...

The electronic configuration of a carbon atom is 1s2,2s2,2p2 and consider..

SOLVED: draw the bohr model for hydrogen with a single electron, show ...

SOLVED: Konfigurasi elektron ion adalah sebagai berikut : Q25 = 1s2 2s2 ...

1s2 2s2 2p6 3s2 3p4 - Blogan

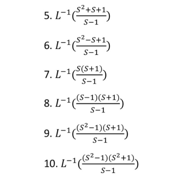
Solved 5.11 3) S2+S+1 S-1 6.1511 S-1 S-1 1 S-1 (S+1) 8. L- | Chegg.com

[Q.32] Electronic configuration of an element is 1s2,2s1,2p2. It is#N ...

Will there be a 119th element? – ChemCafe — science, chemistry and ...

  • Вперед Кому данилу или даниле как правильно
  • Назад Шиншилла сколько лет живут

Новые страницы

992341 Разделить на 269

Экономическая теория изучает

Гдз к учебнику по английскому языку 2 класс spotlight

Гдз по дидактике 8 класс мерзляк

Гдз по физике 9 класс босова

Гдз по русскому языку 3 класс страница 89 2 часть

Как разбирается задняя

Как завести без стартера

Карта осадков онлайн в реальном времени тула

Контракт чвк вагнера образец

Малыш из барбоскиных картинки

Maruichi 1 56

Математика 4 класс страница 45 номер 167

На какой вопрос отвечают имена прилагательные среднего рода

Образец письма в роспотребнадзор

Остров надежды

Перевод мицубиси с японского

Перевод мпа в bar

Препараты железа в таблетках список

Разболтовка колесных дисков акцент

Рено диагностика

Схема расчета круглой кокетки

Шесть видов спорта

Сладков зацвела ива

Социальный паспорт семьи в школе образец заполнения

Спасибо за внимание спорт

Столько какое местоимение разряд

Структурно графическая схема

Устройство гура уаз

Узел учета гвс

cdn.zecar.ru