Skip to content

Фотогалерея

  • Главная
  • Контакты

1Akp

eucalyptus wedding aisle decoration for ceremony | Beach wedding ...

Linear Algebra 19j: Matrix Representation of a Linear Transformation ...

TQlivery - Mod JB3+ SHD VOYAGER HINO RK base Angga... | Facebook

Aircraft Photo of SP-PFC | PZL-Mielec M-24 Dromader Super | AirHistory ...

analyst mode to designer mode – OnScale

Pin by Deanna Wilson on Wedding plan with Steph | Table decorations ...

How to create wedding program fans – Artofit

How to create wedding program fans – Artofit

SP-PFC ZUA Mielec PZL M24 Dromader Super Photo by Witold Ozimek | ID ...

2D Artwork: - Clean Slate - A Stonecrusher Art Thread | Page 21 ...

linear algebra - Compute the matrix $P^{-1}AP$ of $T$ relative to $B ...

SOLVED: 'Are the two matrices similar? If so, find matrix such that B ...

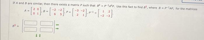
Solved If A and B are similar, then there exists a matrix P | Chegg.com

Solved If A and B are similar, then there exists a matrix P | Chegg.com

If A and B are similar, then there exists a matrix P | Chegg.com

Solved 7. [-11 Points] DETAILS LARLINALG8 6.3.008. Use the | Chegg.com

Solved If A and B are similar, then there exists a matrix P | Chegg.com

Solved Consider the following A = [9 -40 2 -9], P = [-4 -5 | Chegg.com

Solved If A and B are similar, then there exists a matrix P | Chegg.com

Solved If A and B are similar, then there exists a matrix P | Chegg.com

Solved If A and B are similar, then there exists a matrix P | Chegg.com

Solved If A and B are similar, then there exists a matrix P | Chegg.com

Solved If B=P−1AP, explain why Bk=P−1AkP. | Chegg.com

Solved If A and B are similar, then there exists a matrix P | Chegg.com

Solved /1 Points] LARLINALG8 6.4.028. If A and B are | Chegg.com

Solved If A and B are similar, then there exists a matrix P | Chegg.com

Solved If A and B are similac, then there exists a matrix P | Chegg.com

Solved If A and B are similar, then there exists a matrix P | Chegg.com

Ovation Westinghouse Emerson Remote 1C31181G02 I/o Mau Rev 12 1 YEAR ...

Solved If A and B are similar, then there exists a matrix P | Chegg.com

Solved If A and B are similar, then there exists a matrix P | Chegg.com

Solved If A and B are similar, then there exists a matrix P | Chegg.com

Solved If A and B are similar, then there exists a matrix P | Chegg.com

Solved If A and B are similar, then there exists a matrix P | Chegg.com

Solved QUESTION 8. If B=P−1 AP, show that the following are | Chegg.com

  • Вперед G269
  • Назад Дергается газель

Новые страницы

Английский язык 7 класс страница 26 номер 3

Что делает экспорт

Драйв фитнес екатеринбург глобус

Двигатель от стиральной машины подключение на 220 вольт без конденсаторов схема

Есть ошибки в схеме

Форд транзит горит есп

Гдз биология 9 сынып асанов

Гостевой дом бристоль ялта

Инструкция по применению флюкостат

Как зарядить аккумулятор автомобиля в домашних условиях

Карбюратор солекс 21083 провалы при нажатии

Картинки спасибо прикольные с юмором

Мандала богатства и процветания картинки на телефон

Mb10f диодный мост аналог

Москва техническая

Обугливание сахарозы концентрированной серной кислотой

Официальный сайт пстгу

Пескоструй из фреонового баллона своими руками чертежи

Почтовый адрес на английском языке образец почта россии

Построение логических схем информатика

Предохранительный клапан для пара

Северная ирландия на

Схемы ажурных листиков

Силикон герметик прозрачный

Скачать фильм 5 элемент

Спортивная станция метро новосибирск новости

Такси гродно телефон

Укладка стяжки пола

Вольво 940 отзывы

Заглушка для графина заглушка для графини прикол картинка

cdn.zecar.ru