Skip to content

Фотогалерея

  • Главная
  • Контакты

1067 Математика

ГДЗ упражнение 1067 математика 5 класс Ткачева

Математика 6 класс Никольский Номер 1067

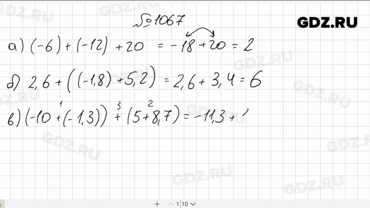
ГДЗ номер 1067 математика 5 класс Мерзляк, Полонский

ГДЗ номер 1067 математика 5 класс Мерзляк, Полонский

ГДЗ номер 1067 математика 5 класс Мерзляк, Полонский

ГДЗ номер 1067 математика 5 класс Мерзляк, Полонский

Номер 1067 стр. 217 - ГДЗ по математике 6 класс Никольский, Потапов ...

Номер 1067 - ГДЗ по математике 5 класс Мерзляк, Полонский с пошаговым ...

Номер 1067 - ГДЗ по математике 5 класс Мерзляк, Полонский с пошаговым ...

Номер 1067 - ГДЗ по математике 5 класс Мерзляк, Полонский с пошаговым ...

Номер 1067 стр. 238 - ГДЗ по математике 6 класс Зубарева, Мордкович ...

ГДЗ Номер 1067 Математика 5 класс Старое издание | Часть 2 | Гарантия ...

Математика Абылкасымова 6 класс 2018 Упражнение 1067 ГДЗ(д?ж) решебник ...

Математика Абылкасымова 6 класс 2018 Упражнение 1067 ГДЗ(д?ж) решебник ...

Вправа 1067 математика Оляницька гдз 4 клас

Вправа 1067 гдз 5 клас математика С. Скворцова 2022 НУШ

Вправа 1067 гдз 6 клас математика Тарасенкова Богатирьова 2020

Вправа 1067 частина 2 гдз математика 6 клас Тарасенкова Богатирьова ...

Вправа 1067 частина 2 гдз 6 клас математика Н. А. Тарасенкова I. М ...

1067- Математика 6 класс Виленкин - YouTube

Задача №1067. Математика 5 класс Виленкин. - YouTube

1067 - Математика 6 класс Мерзляк - YouTube

Задача №1067. Математика 6 класс Виленкин. - YouTube

Упражнение № 1067 – Математика 5 класс – Мерзляк А.Г., Полонский В.Б ...

Упражнение 178 Учебник Часть 2 (Задание 1067) – Математика 6 класс ...

Номер 1067 - ГДЗ Математика 6 класс. Мерзляк учебник

Номер 1067 - ГДЗ Математика 6 класс. Мерзляк учебник

Номер 1067 - ГДЗ Математика 6 класс. Мерзляк учебник

Задание 1067 - ГДЗ Математика 6 класс Виленкин, Жохов учебник

Огэ 2023 2024 математика

Огэ математика 9 класс 3 вариант 2024

Задание 9 огэ 2024

Математика профиль 2024 1 вариант

Огэ матем 2024

ГДЗ Учебник 2019 / часть 2 218 (1067) математика 5 класс Виленкин, Жохов

  • Вперед Лада калина заменить элемент термостата
  • Назад Ооо геоинжиниринг

Новые страницы

Ad8310

Азовское море на карте

Цветаева я тебя отвоюю кому посвящено

Девиантное поведение картинки чб

Дорожный знак столовая картинка

Электроотопление под ключ

Гдз по окружающему миру вторая часть третий класс рабочая тетрадь

Географические координаты евразия

Химчистка салона в казани

Интересные тренинги по психологии

Интерфейс usart

Как убрать мелкие сколы на лобовом

Киа рио какой антифриз залит на заводе

Коллекторная группа с расходомерами

Лечение высыпаний на лице

Незрелые слитно или раздельно

Плакаты электробезопасности

Поравнявшись с ребятишками он бодрый и радостный

Презентация стратегии развития компании образец

Ремонт шуруповерта aeg

Ремонт ювелирных изделий в москве

Русский язык 4 класс 2 часть рабочая тетрадь перспектива гдз

Схема цепи вольтметра

Схема откатных ворот своими руками

Спортивный комплекс зенит

Спортсменки страны

Условные обозначения камеры видеонаблюдения на схеме

Замена лампочек лада приора

Заповедник россии баргузинский заповедник презентация

Журнал приема сдачи дежурства сторожей образец

cdn.zecar.ru